– Teil 4 und 5
Minkowski wies darauf hin, dass es für seine Betrachtungsweise der Gruppe Gc unumgänglich sei, das Verständnis der physikalischen Zusammenhänge auf Basis von Minkowskis Überlegungen zu überarbeiten, damit es zu keinem Widerspruch bei den physikalischen Gesetzen führt. Eine solche Überarbeitung habe nach Minkowskis Worten in einem gewissen Umfang bereits im Bereich der Thermodynamik und der Wärmestrahlung, sowie für die elektromagnetischen Vorgänge und nicht zuletzt in der Mechanik, was den Begriff der „Masse” angeht, stattgefunden.
Insbesondere zum Bereich der Mechanik warf Minkowski die Frage auf, wenn eine Kraft
mit den Komponenten
liegt, als was für eine Kraft
kann diese Kraft bei einer beliebigen Änderung des Bezugssystems aufgefasst
werden?
Minkowski wies auf die nachweisbaren Fortschritte zum Thema „ponderomotorische Kraft” im elektromagnetischen Feld hin, welche sich auf die betrachtete Gruppe Gc übertragen lassen. Unter der ponderomotorischen Kraft versteht man heute den niederfrequenten Anteil der Kraft eines räumlich inhomogenen, hochfrequenten elektromagnetischen Feldes auf ein System von (sich in diesem Feld bewegenden) elektrischen Ladungen.
Die damaligen Ansätze veranlassten Minkowski zu einer einfachen Regel:
Bei der Änderung des Bezugssystems ist die vorausgesetzte Kraft
in der Weise als eine Kraft in den neuen Raumkoordinaten anzusetzen, dass dabei der
zugehörige Vektor mit den Komponenten
... die durch c² dividierte Arbeitsleistung der Kraft im Weltpunkt ist, unverändert bleibt.
Dieser Vektor ist stets normal zum Bewegungsvektor im Punkt P. Ein solcher, zu einer Kraft im Punkt P gehörende Kraftvektor, bezeichnete Minkowski als ein sich „bewegender Kraftvektor im Punkt P”.
Im weiteren Verlauf soll die durch diesen Punkt P verlaufende
Weltlinie, die ja den substanziellen Punkt widerspiegelt, mit konstanter
mechanischer Masse m beschrieben werden. Das
Diese Definitionen beschreiben das Gesetz dafür, wie die Bewegung eines Massenpunktes
bei gegebenem sich bewegenden Kraftvektor stattfindet. Damit soll gelten:
Der Kraftvektor der Bewegung ist gleich dem bewegenden Kraftvektor.
Nach Minkowskis Ansicht, fasst diese Aussage die vier Gleichungen für die Komponenten
nach den vier Achsen zusammen. Wobei die vierte Gleichung, weil von vornherein beide
genannten Vektoren normal zum Bewegungsvektor angeordnet sind, sich als eine Folge der drei
ersten Gleichungen ansehen lässt. Nach der obigen Bedeutung von T
stellt die vierte Gleichung zweifellos den Energiesatz dar. Als kinetische Energie
des Massenpunktes ist daher der
Daraus ergibt sich die Beziehung:
Das entspricht nach Abzug der additiven Konstante mc² dem
Ausdruck
Diese Tatsache behält bei dem angesprochenen Grenzwert bei
Nach Aussage von Minkowski lässt sich von vornherein das Verhältnis von
Längeneinheit zu Zeiteinheit so wählen, dass dies der natürlichen
Geschwindigkeitsschranke
Dadurch zeigt sich eine völlige Symmetrie in
Die Vorteile, die sich aus dem Weltpostulat ergeben, werden durch nichts so treffend belegt, wie durch die Beschreibung des Verhaltens einer beliebig bewegten punktförmigen Ladung nach den in der Maxwell-Lorentzschen Theorie beschriebenen Wechselwirkungen.
Stellen wir uns diesbezüglichen die Weltlinie eines punktförmigen Elektrons mit der Lage e vor, und führen auf ihr die Eigenzeit τ ein, wobei die betreffende Weltlinie an irgendeinem Punkt beginnt. Um das vom Elektron in einem beliebigen Weltpunkt P₁ angeregte Feld zu erhalten, konstruieren wir den zum Punkt P₁ dazugehörigen Vorkegel (Abb. 4).
Dieser Vorkegel trifft die unbegrenzte Weltlinie des betrachteten Elektrons, weil deren
Richtungen überall denen von zeitartigen Vektoren entsprechen, offenbar in einem
einzigen Punkt P. In diesem Punkt P wird an die
Weltlinie eine Tangente gelegt und anschließend durch den Punkt
P₁ die Normale
P₁Q auf diese Tangente konstruiert. Der
Betrag von P₁Q entspricht dem Radius
r. Als Betrag von PQ ergibt sich gemäß
der Definition eines Vorkegels der Wert r/c. Nun stellt der Vektor
in Richtung PQ mit dem Betrag e/r in seinen
Komponenten nach den
Bei der Beschreibung des von diesem Elektron angeregten Feldes zeigt sich, dass die Trennung des Feldes in eine elektrische und eine magnetische Kraft relativ ist, wegen der zugrunde gelegten Zeitachse. Minkowski zog den Vergleich heran, das man diese beiden Kräfte, wenn auch nicht in einer völlig zutreffenden Analogie, mit einer Kraftschraube in der Mechanik vergleichen werden könnte.
Minkowski beschreibt nachfolgend die von einer beliebig bewegten punktförmigen Ladung auf eine andere beliebig bewegte punktförmige Ladung ausgeübte ponderomotorische Wirkung.
Hierzu fügen wir gedanklich durch den Weltpunkt P₁
eine weitere Weltlinie eines zweiten punktförmigen Elektrons mit der Ladung
e₁ hinzu. Wir behalten die Punkte
Nun legen wir noch ein Bezugssystem fest, mit P als
Anfangspunkt, und legen die
und der Bewegungsvektor im Punkt
P₁ sei
.
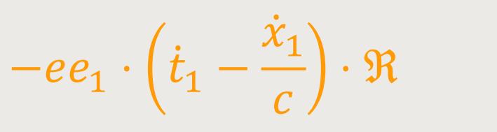
Jetzt erhält man den von dem ersten beliebig bewegten Elektron e auf das zweite beliebig bewegte Elektron e₁ im Punkt P₁ ausgeübten und sich bewegenden Kraftvektor:
Wobei für die Komponenten ℜx, ℜy, ℜz, ℜt des Vektors ℜ die drei Relationen bestehen:
Und als viertes steht dieser Vektor ℜ normal zum Bewegungsvektor im Punkt P₁ , und durch diesen Umstand allein in Abhängigkeit vom letzteren Bewegungsvektor.
Vergleicht man mit dieser Aussage die bisherigen Formulierungen z.B. von K. Schwarzschild,
nämlich des Elementargesetzes über die ponderomotorische Wirkung bewegter
punktförmiger Ladungen aufeinander, so kommt man nicht umhin zuzugeben, dass die hier
in Betracht kommenden Verhältnisse ihr inneres Wesen erst in vier Dimensionen
offenbaren. Man muss es quasi nur von einem vorgegebenen
Laut Aussage von Minkowski fallen in einer Mechanik, die aufgrund obigen Weltpostulats überarbeitet werden müsste, die Diskrepanzen zwischen der Newton'schen Mechanik und der modernen Elektrodynamik von selbst weg.
Minkowski bewertete abschließend noch die Stellung des Newton'schen
Attraktionsgesetzes, heute als „Gesetz der Gravitation” bekannt, in Bezug
auf obiges Postulat. Er nahm an, wenn zwei Massenpunkte
Wir betrachten nun den speziellen Fall, dass der Beschleunigungsvektor von m konstant Null ist, wobei wir anschließend t so einsetzen, dass m als ruhend aufgefasst werden kann. Zusätzlich erfolgt die Bewegung von m₁ allein durch den von m bewirkten Kraftvektor. Nun wird dieser definierte Kraftvektor zunächst durch Hinzufügen folgenden Faktors erweitert:
Bei Größen von der Ordnung von 1/c² auf
1 zeigt sich, dass für die Koordinaten
Auch die Grundgleichungen für die elektromagnetischen Vorgänge in massebehafteten Körpern fügen sich durchaus in das Weltpostulat ein. Sogar die von Lorentz gelehrte Ableitung dieser Gleichungen auf Grundlage der Elektronentheorie braucht letztlich nicht über Bord geworfen zu werden, wie Minkowski dies an anderer Stelle beabsichtigte aufzuzeigen.
Die Gültigkeit obigen Weltpostulats ohne Einschränkungen ist, so war Minkowski davon überzeugt, der wahre Kern eines elektromagnetischen Weltbildes, der von Lorentz ersonnen, und von Einstein weiter ausgeführt wurde. Beim Ausarbeiten der mathematischen Konsequenzen werden genug Hinweise auf experimentelle Verifikationen des Postulats zu finden sein, um auch diejenigen zu überzeugen, denen es schwer fällt, altgewohnte Anschauungen aufzugeben, und durch eine im Voraus festgestellte Einheit zwischen der reinen Mathematik und der Physik zu beschwichtigen.
⇦ Kapitel Kapitel ⇨
