− Teil C
§ 13. Bewegungsgleichung des materiellen Punktes im Gravitationsfeld.
Ausdruck
für die Feldkomponenten der Gravitation.
Ein frei beweglicher, äußeren Kräften nicht unterworfener Körper,
bewegt sich nach der Speziellen Relativitätstheorie geradlinig und
gleichförmig. Dies gilt auch nach der Allgemeinen Relativitätstheorie
für einen Teil des
Betrachtet man eben diese Bewegung von einem beliebig gewählten Koordinatensystem
K₁ aus, so bewegt er sich von K₁
aus, beurteilt nach den Überlegungen des §2 (Teil-A) in
einem Gravitationsfeld. Das Bewegungsgesetz mit Bezug auf K₁
ergibt sich leicht aus folgender Überlegung. Mit Bezug auf K₀
ist das Bewegungsgesetz eine
so lautet also die Gleichung der Punktbewegung in Bezug auf K₁: (46)
Es liegt nahe anzunehmen, dass dieses allgemein kovariante Gleichungssystem die Bewegung des Punktes im Gravitationsfeld auch in dem Fall bestimmt, dass kein Bezugssystem K₀ existiert, bezüglich dessen in endlichen Räumen die Spezielle Relativitätstheorie gilt. Diese Annahme ist umso berechtigter, als (46) nur erste Ableitungen der gμν enthält, zwischen denen auch im Spezialfall der Existenz von K₀ keine Beziehungen bestehen.
Einstein ergänzt hierzu, dass erst zwischen den zweiten (und ersten) Ableitungen
gemäß § 12 die Beziehungen
Verschwinden die Γμτν, so bewegt sich der Punkt geradlinig und gleichförmig. Diese Größen rufen also die Abweichung der Bewegung von der Gleichförmigkeit hervor. Sie sind die Komponenten des Gravitationsfeldes.
§ 14. Die Feldgleichungen der Gravitation bei Abwesenheit von Materie.
Man unterscheidet im Folgenden zwischen „Gravitationsfeld” und „Materie”, in dem Sinne, dass alles außer dem Gravitationsfeld als „Materie” bezeichnet wird, also nicht nur die „Materie” im üblichen Sinne, sondern auch das elektromagnetisches Feld.
Als Nächstes gilt es, die Feldgleichungen der Gravitation bei Abwesenheit von Materie zu untersuchen. Dabei verwendet man wieder dieselbe Methode wie im vorigen Paragraphen bei der Aufstellung der Bewegungsgleichung des materiellen Punktes. Ein Spezialfall, in welchem die gesuchten Feldgleichungen jedenfalls erfüllt sein müssen, ist der der ursprünglichen Relativitätstheorie, in dem die gμν gewisse konstante Werte haben. Dies sei der Fall in einem gewissen endlichen Gebiet in Bezug auf ein bestimmtes Koordinatensystem K₀. In Bezug auf dieses System verschwinden sämtliche Komponenten Bμϱστ des Riemannschen Tensors [Gleichung (34)]. Diese verschwinden dann für das betrachtete Gebiet auch bezüglich jedes anderen Koordinatensystems.
Die gesuchten Gleichungen des materiefreien Gravitationsfeldes müssen also jedenfalls erfüllt sein, wenn alle Bμϱστ verschwinden. Allerdings ist diese Bedingung sehr weitreichend. Denn es ist nachvollziehbar, dass z.B. das von einem Massenpunkt in seiner Umgebung erzeugte Gravitationsfeld ziemlich sicher durch keine Wahl des Koordinatensystems „wegtransformiert”, das heißt auf den Fall konstanter gμν transformiert werden kann.
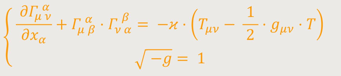
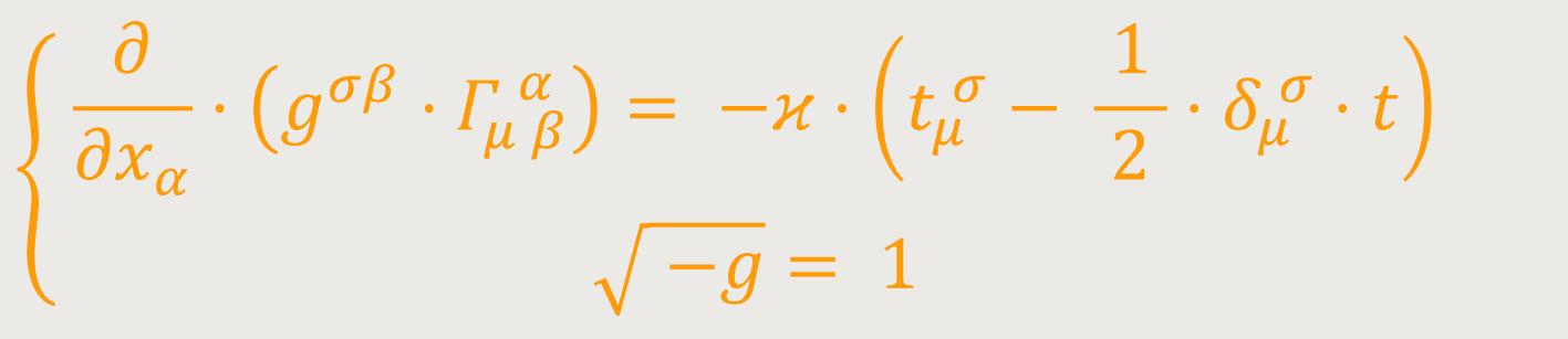
Deshalb liegt es nahe, für das materiefreie Gravitationsfeld das Verschwinden des aus dem Tensor Bμϱστ abgeleiteten symmetrischen Tensors Bμν zu verlangen. Man erhält so 10 Gleichungen für die 10 Größen gμν, welche im Speziellen erfüllt sind, wenn sämtliche Bμϱστ verschwinden. Diese Gleichungen lauten mit Rücksicht auf (44) bei der von uns getroffenen Wahl für das Koordinatensystem für das materiefreie Feld: (47)
Nach Einsteins Worten muss darauf hingewiesen werden, dass der Wahl dieser Gleichungen ein Minimum von Willkür anhaftet. Denn es gibt außer Bμν keinen Tensor zweiten Ranges, der aus den gμν und deren Ableitungen gebildet ist, keine höheren als zweite Ableitungen enthält, und in letzteren linear ist.
Einstein ergänzt hierzu, dass sich dies eigentlich nur von dem Tensor
Dass diese Gleichungen sich aus der Forderung der allgemeinen Relativität auf rein mathematischem Weg in Verbindung mit den Bewegungsgleichungen (46) ergeben, und zwar in erster Näherung das Newtonsche Attraktionsgesetz, sowie in zweiter Näherung die Erklärung der von Le Verrier entdeckten Perihelbewegung des Merkur liefern, überzeugten Einstein von der physikalischen Richtigkeit der Theorie.
§ 15. Hamiltonsche Funktion für das Gravitationsfeld, Impulsenergiesatz.
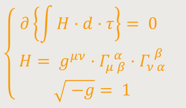
Um zu zeigen, dass die Feldgleichungen dem Impulsenergiesatz entsprechen, ist es am bequemsten, sie in folgender Hamiltonscher Form zu schreiben: (47a)
Dabei verschwinden die Variationen an den Grenzen des betrachteten begrenzten
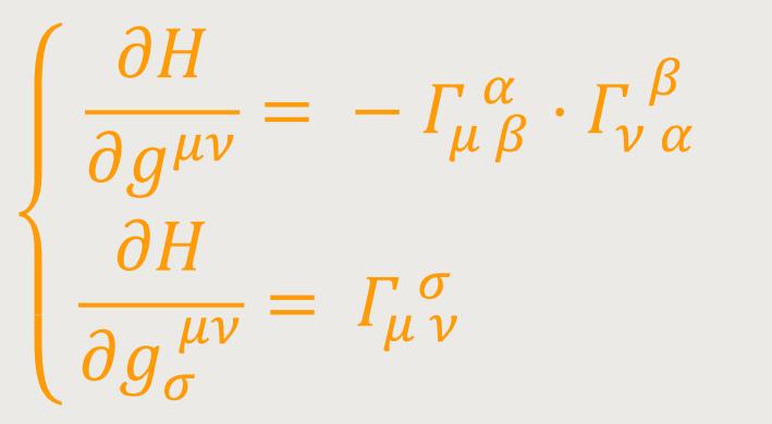
Einstein zeigte zunächst, dass die Form (47a) mit den Gleichungen (47) äquivalent ist. Zu diesem Zweck betrachtet man H als Funktion der gμν und der
Dann ist zunächst
Nun ist aber
Die aus den beiden letzten Termen der runden Klammer hervorgehenden Terme sind von verschiedenem Vorzeichen und gehen auseinander (da die Benennung der Summationsindizes belanglos ist) durch Vertauschung der Indizes μ und β hervor. Sie heben einander im Ausdruck für δH weg, weil sie mit der bezüglich der Indizes μ und β symmetrischen Größe Γμαβ multipliziert werden. Es muss also nur das erste Glied der runden Klammer berücksichtigt werden, so dass man mit Rücksicht auf (31) erhält:
Daraus folgt demnach: (48)
Die Ausführung der Variation in (47a) ergibt zunächst folgendes Gleichungssystem: (47b)
welches wegen (48) mit (47) übereinstimmt, was nach Einsteins Worten zu beweisen war. Multipliziert man (47b) mit gσμν, so erhält man, weil
und folglich
folgende Gleichung:
Oder: (49)
bzw. wegen (48), der zweiten Gleichung (47) und (34): (50)
Es ist zu beachten, dass tσα kein
Tensor ist. Dagegen gilt (49) für alle Koordinatensysteme,
für welche √−g = 1
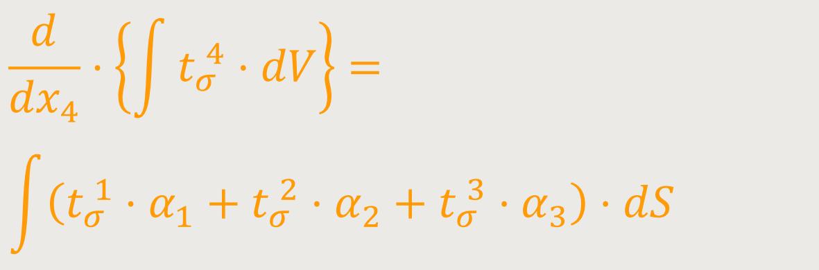
ist. Diese Gleichung drückt den Erhaltungssatz des Impulses und der Energie für
das Gravitationsfeld aus. Tatsächlich liefert die Integration dieser
Gleichung über ein
Wobei α₁, α₂, α₃ der Richtungskosinus der nach innen gerichteten Normale eines Flächenelementes der Begrenzung von der Größe dS (im Sinne der euklidischen Geometrie) bedeuten. Man erkennt hierin den Ausdruck der Erhaltungssätze in üblicher Fassung. Die Größen tσα bezeichnet man als die „Energiekomponenten” des Gravitationsfeldes.
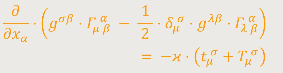
Einstein gab die Gleichungen (47) noch in einer dritten Form an, die für den Sachverhalt besonders dienlich wäre. Durch Multiplikation der Feldgleichungen (47) mit gνσ ergeben sich diese in der „gemischten” Form. Beachtet man, dass
welche Größe wegen (34) gleich
oder (nach geänderter Benennung der Summationsindizes) gleich ist
Das dritte Glied dieses Ausdrucks hebt sich weg gegen das aus dem zweiten Glied der Feldgleichungen (47) entstehende. An Stelle des zweiten Gliedes dieses Ausdrucks lässt sich nach Beziehung: (50)
setzen (t = tαα). Man erhält also an Stelle der Gleichungen (47): (51)
§ 16. Allgemeine Fassung der Feldgleichungen der Gravitation.
Die im vorigen Paragraphen aufgestellten Feldgleichungen für materiefreie Räume sind mit der Feldgleichung
der Newtonschen Theorie zu vergleichen. Es muss die Gleichung herausgestellt werden, welche der Poisson-Gleichung
entspricht, wobei ϱ die Dichte der Materie bedeutet.
Die Spezielle Relativitätstheorie hat zu dem Ergebnis geführt, dass die träge Masse nichts anderes ist als Energie, welche ihren vollständigen mathematischen Ausdruck in einem symmetrischen Tensor zweiten Ranges, dem Energietensor, findet. Einstein führte daher auch in der Allgemeinen Relativitätstheorie einen Energietensor der Materie Tσα ein, der wie die Energiekomponenten tσα1 [Gleichungen (49) und (59)] des Gravitationsfeldes gemischten Charakter hat, aber zu einem symmetrischen kovarianten Tensor gehören wird.
Wie dieser Energietensor (entsprechend der Dichte ϱ
in der Poisson-Gleichung) in die Feldgleichungen der Gravitation einzuführen
ist, beschreibt das Gleichungssystem (51). Betrachtet man nämlich
ein vollständiges System (z.B. das Sonnensystem), so wird die Gesamtmasse des
Systems, also auch seine gesamte gravitierende Wirkung, von der Gesamtenergie des Systems,
also von der ponderablen und Gravitationsenergie zusammen, abhängen. Dies wird
sich dadurch ausdrücken lassen, dass man in (51) an Stelle der
Energiekomponenten tμσ des
Gravitationsfeldes allein die Summen
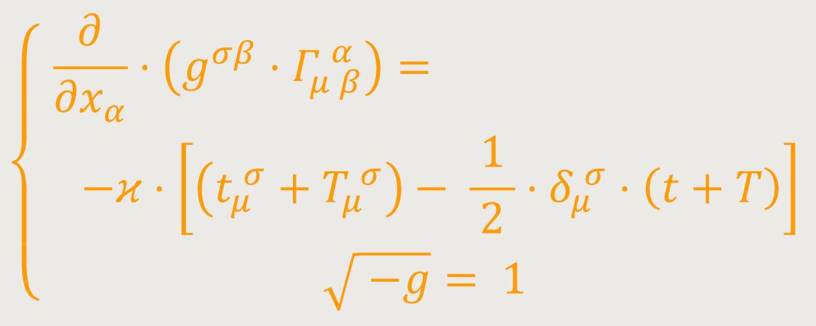
Wobei T = Tμμ gesetzt ist (Lauescher Skalar). Dies sind die gesuchten allgemeinen Feldgleichungen der Gravitation in gemischter Form. An Stelle von (47) ergibt sich daraus rückwärts folgendes System: (53)
Einstein machte die Einschränkung, dass diese Einführung des Energietensors der Materie durch das Relativitätspostulat allein nicht gerechtfertigt wird. Deshalb wurde sie weiter oben aus der Forderung abgeleitet, dass die Energie des Gravitationsfeldes in gleicher Weise gravitierend wirken soll, wie jegliche anders geartete Energie. Der überzeugendste Grund für die Wahl der vorstehenden Gleichungen liegt aber darin, dass sie zur Folge haben, dass für die Komponenten der Totalenergie Erhaltungsgleichungen (des Impulses und der Energie) gelten, welche den Gleichungen (49) und (49a) genau entsprechen. Dies soll im Folgenden dargelegt werden.
§ 17. Die Erhaltungssätze im allgemeinen Falle.
Die Gleichung (52) lässt sich leicht so umzuformen, dass auf der
rechten Seite das zweite Glied wegfällt. Man verjünge (52)
nach den Indizes μ und σ und subtrahiere
die so erhaltene Gleichung, mit
An dieser Gleichung wird die Operation ∂/∂x₀ gebildet. Folglich ist:
Das erste und das dritte Glied der runden Klammer liefern Beträge, die einander wegheben, wie man erkennt, wenn im Betrag des dritten Gliedes die Summationsindizes α und σ einerseits, sowie β und λ andererseits vertauscht. Das zweite Glied lässt sich nach (31) umformen, so dass man erhält: (54)
Das zweite Glied der linken Seite von (52a) liefert zunächst
oder
Das vom letzten Glied der runden Klammer herrührende Glied verschwindet wegen (29) bei der von uns getroffenen Koordinatenwahl. Die beiden anderen lassen sich zusammenfassen und liefern wegen (31) zusammen
so dass mit Rücksicht auf (54) folgende Identität besteht: (55)
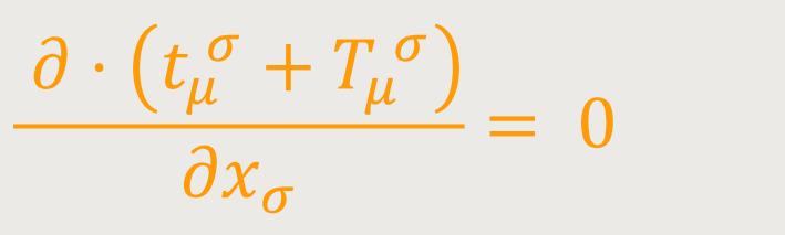
Aus (55) und (52a) folgt: (56)
Aus den erhaltenen Feldgleichungen der Gravitation geht also hervor, dass den Erhaltungssätzen des Impulses und der Energie Genüge geleistet ist. Man erkennt diese am ehesten in Verbindung mit der Betrachtung, die zur Gleichung (49a) führt. Nur hat man hier an Stelle der Energiekomponenten tμσ des Gravitationsfeldes die Gesamtenergiekomponenten von Materie und Gravitationsfeld einzuführen.
§ 18. Der Impulsenergiesatz für die Materie als Folge der Feldgleichungen.
Multipliziert man (53) mit
die Gleichung
oder mit Rücksicht auf (56): (57)
Ein Vergleich mit (41b) zeigt, dass diese Gleichung bei der getroffenen Wahl für das Koordinatensystem nichts anderes aussagt, als das Verschwinden der Divergenz des Tensors der Energiekomponenten der Materie. Physikalisch zeigt das Auftreten des zweiten Gliedes der linken Seite, das für die Materie allein Erhaltungssätze des Impulses und der Energie im eigentlichen Sinne nicht, bzw. nur dann gelten, wenn die gμν konstant sind, das heißt wenn die Feldstärken der Gravitation verschwinden. Dieses zweite Glied ist ein Ausdruck für Impuls und Energie, welche pro Volumen und Zeiteinheit vom Gravitationsfeld auf die Materie übertragen werden. Dies tritt noch klarer hervor, wenn man statt (57) im Sinne von (41) wie folgt schreibt: (57a)
Die rechte Seite drückt die energetische Einwirkung des Gravitationsfeldes auf die Materie aus.
Die Feldgleichungen der Gravitation enthalten also gleichzeitig vier Bedingungen, welchen der materielle Vorgang zu genügen hat. Sie liefern die Gleichungen des materiellen Vorgangs vollständig, wenn letzterer durch vier voneinander unabhängige Differentialgleichungen charakterisierbar ist.
Was es im Detail mit den „materiellen” Vorgängen auf sich hat, schließt sich im nächsten Teil an.
⇦ Kapitel Kapitel ⇨
