− Teil B (1)
Laut Einstein hat das vorher Betrachtete gezeigt, dass das allgemeine
Relativitätspostulat zu der Forderung führt, dass die Gleichungssysteme
der Physik beliebigen Substitutionen der Koordinaten
Der Grundgedanke dieser allgemeinen Kovariantentheorie ist folgender: Es seien gewisse Sachverhalte („Tensoren”) mit Bezug auf jedes Koordinatensystem durch eine Anzahl Raumfunktionen definiert, welche die „Komponenten” des Tensors genannt werden. Es gibt dann gewisse Regeln, nach welchen diese Komponenten für ein neues Koordinatensystem berechnet werden, wenn sie für das ursprüngliche System bekannt sind. Außerdem muss die Transformation bekannt sein, die beide Systeme miteinander verknüpft. Die nachher als „Tensoren” bezeichneten Sachverhalte sind ferner dadurch gekennzeichnet, dass die Transformationsgleichungen für ihre Komponenten linear und homogen sind. Demnach würden sämtliche Komponenten im neuen System verschwinden, wenn sie im ursprünglichen System gänzlich verschwinden. Wird also ein Naturgesetz durch das Nullsetzten aller Komponenten eines Tensors formuliert, so ist es allgemein kovariant. Indem man die Bildungsgesetze der Tensoren untersucht, erhält man die Mittel zur Aufstellung allgemein kovarianter Gesetze.
Hinweis: Man könnte auch sagen, das die Tensoren das Transformationsverhalten der Basisvektoren beschreiben.
§ 5. Kontravarianter und kovarianter Vierervektor.
Kontravarianter Vierervektor. Das Linienelement ist definiert durch die vier Komponenten dxν, deren Transformationsgesetz durch folgende Gleichung ausgedrückt wird: (5)
Die dxσ' drücken sich linear und homogen durch die dxν aus. Man kann diese Koordinatendifferentiale dxν daher als die Komponenten eines Tensors ansehen, der speziell als „kontravarianter Vierervektor” bezeichnet wird. Jeder Sachverhalt, der bezüglich des Koordinatensystems durch vier Größen Aν definiert ist, und die sich nach folgendem Gesetz (5a)
transformieren, bezeichnen wir ebenfalls als kontravarianten Vierervektor. Aus
(5a) folgt sogleich, dass die Summen
Kovarianter Vierervektor. Die vier Größen Aν werden als die Komponenten eines „kovarianten Vierervektors” bezeichnet, wenn für jede beliebige Wahl des Kontravarianten Vierervektors Bν gilt: (6)
Aus dieser Definition folgt das Transformationsgesetz des kovarianten Vierervektors. Ersetzt man nämlich auf der rechten Seite folgender Gleichung
das Bν durch den aus der Umkehrung der Gleichung (5a) folgenden Ausdruck
so erhält man
Hieraus folgt aber, weil in dieser Gleichung die Bσ' unabhängig voneinander frei wählbar sind, folgendes Transformationsgesetz: (7)
Bemerkung zur Vereinfachung der Schreibweise der Ausdrücke.
Ein Blick auf die Gleichungen dieses Paragraphen zeigt, dass über Indizes, die zweimal unter einem Summenzeichen auftreten [z.B. der Index ν in (5)], stets summiert wird, und zwar nur über zweimal auftretende Indizes. Es ist deshalb möglich, ohne die Klarheit zu beeinträchtigen, die Summenzeichen wegzulassen. Dafür führte Einstein folgende Vorschrift ein: Tritt ein Index in einem Term eines Ausdrucks zweimal auf, so ist über ihn stets zu summieren, wenn nicht ausdrücklich das Gegenteil bemerkt ist.
Der Unterschied zwischen dem kovarianten und kontravarianten Vierervektor liegt in dem Transformationsgesetz (7) bzw. (5). Beide Gebilde sind Tensoren im Sinne der obigen allgemeinen Bemerkung. Hierin liegt laut Einstein ihre Bedeutung. In Anlehnung an Ricci und Levi-Civita wird der kontravariante Charakter durch „oberen”, der kovariante durch „unteren” Index bezeichnet.
§ 6. Tensoren zweiten und höheren Ranges
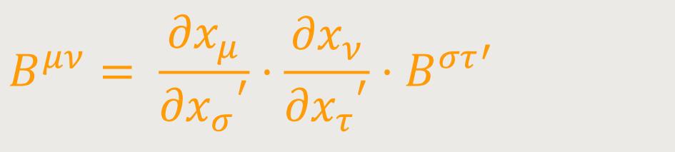
Kontravarianter Tensor. Bildet man sämtliche 16 Produkte Aμν der Komponenten Aμ und Bν zweier kontravarianten Vierervektoren wie folgt: (8)
so erfüllt Aμν gemäß (8) und (5a) folgendes Transformationsgesetz: (9)
Man nennt einen Sachverhalt, der bezüglich eines jeden Bezugssystems durch
16 Größen (Funktionen) beschrieben wird, die das
Transformationsgesetz (9) erfüllen, einen kontravarianten
Tensor „zweiten Ranges”. Nicht jeder solcher Tensor lässt sich gemäß
(8) aus zwei Vierervektoren bilden. Aber es sei nach Einsteins
Ansicht leicht zu beweisen, dass sich 16 beliebig gegebene
Aμν darstellen lassen als die Summe der
Kontravarianter Tensor beliebigen Ranges. Nach Einsteins Worten sei es klar, dass man entsprechend (8) und (9) auch kontravariante Tensoren dritten und höheren Ranges definieren kann mit 4³ usw. Komponenten. Ebenso ersichtlich sei aus (8) und (9), dass man in diesem Sinne den kontravarianten Vierervektor als kontravarianten Tensor ersten Ranges auffassen kann.
Kovarianter Tensor. Bildet man andererseits die 16 Produkte Aμν der Komponenten zweier kovarianter Vierervektoren Aμ und Bν: (10)
so gilt für diese folgendes Transformationsgesetz: (11)
Durch dieses Transformationsgesetz wird der kovariante Tensor zweiten Ranges definiert. Alle Bemerkungen, die zuvor über die kontravarianten Tensoren gemacht wurden, gelten auch für die kovarianten Tensoren.
Bemerkung: Es sei laut Einstein bequem, den Skalar (Invariante) sowohl als kontravarianten wie als kovarianten Tensor vom Range Null zu behandeln.
Gemischter Tensor. Man kann auch einen Tensor zweiten Ranges vom Typus (12)
definieren, der bezüglich des Index μ kovariant, aber bezüglich des Index ν kontravariant ist. Dessen Transformationsgesetz lautet: (13)
Natürlich gibt es gemischte Tensoren mit beliebig vielen Indizes kovarianten und beliebig vielen Indizes kontravarianten Charakters. In diesem Fall können der kovariante und der kontravariante Tensor als spezielle Fälle des gemischten angesehen werden.
Symmetrische Tensoren. Ein kontravarianter bzw. kovarianter Tensor zweiten oder höheren Ranges heißt „symmetrisch”, wenn zwei Komponenten, die durch Vertauschung irgendwelcher zweier Indizes auseinander hervorgehen, gleich sind. Der Tensor Aμν bzw. Aμν ist also symmetrisch, wenn für jede Kombination der Indizes: (14)
bzw.: (14a)
ist.
Laut Einstein müsste bewiesen werden, dass die so definierte Symmetrie eine vom Bezugssystem unabhängige Eigenschaft ist. Aus (9) folgt in der Tat mit Rücksicht auf (14):
Die vorletzte Gleichung beruht auf der Vertauschung der Summenindizes μ und ν (das heißt lediglich auf Änderung der Bezeichnungsweise).
Antisymmetrische Tensoren. Ein kontravarianter bzw. kovarianter Tensor zweiten, dritten und vierten Ranges heißt antisymmetrisch, wenn zwei Komponenten, die durch Vertauschung irgendwelcher zweier Indizes auseinander hervorgehen, entgegengesetzt gleich sind. Der Tensor Aμν bzw. Aμν ist also antisymmetrisch, wenn stets: (15)
bzw.: (15a)
ist.
Von den 16 Komponenten Aμν verschwinden die vier Komponenten Aμμ. Die übrigen sind paarweise entgegengesetzt gleich, so dass nur 6 numerisch verschiedene Komponenten vorhanden sind (Sechservektor). Ebenso sieht man, dass der antisymmetrische Tensor Aμνσ (dritten Ranges) nur vier numerisch verschiedene Komponenten hat, dagegen der antisymmetrische Tensor Aμνστ nur eine einzige. Symmetrische Tensoren höheren als den des vierten Ranges gibt es in einem Kontinuum von vier Dimensionen nicht.
§ 7. Multiplikation der Tensoren.
Äußere Multiplikation der Tensoren. Man erhält aus den Komponenten
eines Tensors vom Range z und eines solchen vom Range z'
die Komponenten eines Tensors vom Range
Der Beweis des Tensorcharakters der Tensoren T ergibt sich unmittelbar aus den Darstellungen (8), (10), (12) oder aus den Transformationsregeln (9), (11), (13). Die Gleichungen (8), (10), (12) sind selbst Beispiele äußerer Multiplikation (von Tensoren ersten Ranges).
„Verjüngung” eines gemischten Tensors. Aus jedem gemischten Tensor
kann ein Tensor von einem um zwei kleineren Range gebildet werden, indem man einen Index kovarianten
und einen Index kontravarianten Charakters gleichsetzt und nach diesem Index summiert
(„Verjüngung”). Man gewinnt so z.B. aus dem gemischten Tensor vierten
Ranges
Und aus diesem, durch nochmalige Verjüngung, den Tensor nullten Ranges:
Der Beweis dafür, dass das Ergebnis der Verjüngung wirklich Tensorcharakter besitzt, ergibt sich entweder aus der Tensordarstellung gemäß der Verallgemeinerung von (12) in Verbindung mit (6) oder aus der Verallgemeinerung von (13).
Innere und gemischte Multiplikation der Tensoren. Diese bestehen in der Kombination der äußeren Multiplikation mit der Verjüngung.
Beispiele:
Aus dem kovarianten Tensor zweiten Ranges Aμν und dem kontravarianten Tensor ersten Ranges Bσ bildet man durch äußere Multiplikation den gemischten Tensor
Durch Verjüngung nach den Indizes ν, σ entsteht der kovariante Vierervektor
Diesen bezeichnet man auch als inneres Produkt der Tensoren Aμν
und Bσ. Analog bildet man aus den Tensoren
Aμν und Bστ
durch äußere Multiplikation und zweimalige Verjüngung das innere Produkt
Man kann diese Operation treffend als eine gemischte bezeichnen. Denn sie ist eine äußere Produktbildung bezüglich der Indizes ν und σ.
Einstein beabsichtigte nun einen Satz zu beweisen, der zum Nachweis des
Tensorcharakters oft verwendbar ist. Nach dem zuvor Dargelegten ist
Beweis: Es ergibt sich nach Voraussetzung für eine beliebige Substitution:
Nach der Umkehrung von (9) ist aber
Wird dies in obige Gleichung eingesetzt, folgt daraus:
Dies kann bei beliebiger Wahl von Bστ' nur dann erfüllt sein, wenn die Klammer verschwindet, woraus mit Rücksicht auf (11) obige Behauptung folgt.
Dieser Satz gilt entsprechend für Tensoren beliebigen Ranges und Charakters. Der Beweis ist stets analog zu führen.
Der Satz lässt sich ebenso beweisen in der Form: Sind Bμ und Cν beliebige Vektoren, und ist bei jeder Wahl derselben das innere Produkt
ein Skalar, so ist Aμν ein kovarianter Tensor. Dieser letzte Satz gilt auch dann noch, wenn nur die spezielle Aussage zutrifft, dass bei beliebiger Wahl des Vierervektors Bμ das skalare Produkt
ein Skalar ist, falls zudem bekannt ist, dass Aμν
der Symmetriebedingung Aμν = Aνμ
genügt. Denn auf zuvor beschriebene Weise beweist man den Tensorcharakter von
Nach Einsteins Worten folgt endlich aus dem Bewiesenen der ebenfalls auf beliebige
Tensoren zu verallgemeinernde Satz: Wenn die Größen
§ 8. Einiges über den Fundamentaltensor der gμν
Der kovariante Fundamentaltensor. In dem invarianten Ausdruck des Quadrats des Linienelements
spielt dxμ die Rolle eines beliebig wählbaren
kontravarianten Vektors. Da ferner
Der kontravariante Fundamentaltensor. Bildet man in dem Determinantenschema der
gμν zu jedem
gμν die Unterdeterminante
und dividiert diese durch die Determinante
Nach einem bekannten Determinantensatz lautet: (16)
Wobei das Zeichen δμν entweder
1 oder 0 bedeutet, je nachdem ob
oder nach (16):
Nun bilden aber nach den Multiplikationsregeln des vorigen Paragraphen die Größen
einen kovarianten Vierervektor, und zwar (wegen der willkürlichen Wählbarkeit der dxμ) einen beliebig wählbaren Vierervektor. Indem man ihn in obigen Ausdruck des Quadrats einführt, erhält man:
Da dies bei beliebiger Wahl des Vektors dζσ ein Skalar ist, und gστ nach seiner Definition in den Indizes σ und τ symmetrisch ist, folgt aus den Ergebnissen des vorherigen Paragraphen, dass gστ ein kontravarianter Tensor ist. Aus (16) folgt andererseits, dass auch δμν ein Tensor ist, der sich als gemischter Fundamentaltensor bezeichnen lässt.
Determinante des Fundamentaltensors. Nach dem Multiplikationssatz der Determinanten ist
Anderseits ist
Also folgt: (17)
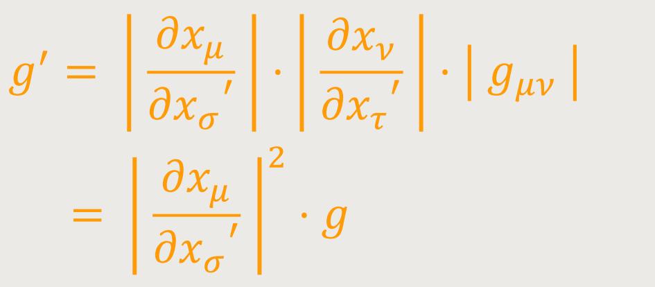
Invariante des Volumens. Zuerst wird das Transformationsgesetz der Determinante
Hieraus folgt durch zweimalige Anwendung des Multiplikationssatzes der Determination:
oder
Andererseits lautet das Gesetz der Transformation des Volumenelements:
Bzw. nach dem bekannten Jakobischen Satz:
Durch Multiplikation der beiden letzten Gleichungen erhält man: (18)
Statt √g wird im Folgenden die
Größe √−g eingeführt,
welche wegen des hyperbolischen Charakters des raumzeitlichen Kontinuums
stets einen reellen Wert hat. Die Invariante
Bemerkung über den Charakter des raumzeitlichen Kontinuums. Die Voraussetzung,
dass im unendlich Kleinen stets die Spezielle Relativitätstheorie gilt,
bringt es mit sich, dass sich ds² immer gemäß (1)
durch die reellen Größen
Soll an einer Stelle des
Ist aber −g stets positiv und endlich, so liegt es nahe, die Koordinatenwahl a posteriori bzw. auf Basis der Erfahrung so zu treffen, dass diese Größe gleich 1 wird. Nach Einsteins Worten würde sich später zeigen, dass durch eine solche Beschränkung der Koordinatenwahl eine bedeutende Vereinfachung der Naturgesetze erzielt werden kann. An Stelle von (18) tritt dann einfach:
Woraus mit Rücksicht auf den Jakobischen Satz folgt: (19)
Bei dieser Koordinatenwahl sind also nur Substitutionen der Koordinaten von der Determinante 1 zulässig.
Es wäre aber irrtümlich, zu glauben, dass dieser Schritt einen partiellen Verzicht auf das allgemeine Relativitätspostulat bedeuten würde. Es stellt sich nicht die Frage: „Wie heißen die Naturgesetze, welche gegenüber allen Transformationen von der Determinante 1 kovariant sind?” Sondern es erhebt sich die Frage: „Wie heißen die allgemein kovarianten Naturgesetze?” Erst nachdem Einstein diese aufgestellt hätte, wollte er ihren Ausdruck durch eine besondere Wahl des Bezugssystems vereinfachen.
Bildung neuer Tensoren mithilfe des Fundamentaltensors. Durch innere, äußere und gemischte Multiplikation eines Tensors mit dem Fundamentaltensor entstehen Tensoren anderen Charakters und Ranges.
Beispiele:
Besonders sei auf folgende Bildungen hingewiesen:
(„Ergänzung” des kovarianten bzw. kontravarianten Tensors) und
Man bezeichnet Bμν den zu Aμν gehörigen reduzierten Tensor. Analog:
Es sei bemerkt, dass gμν nichts anderes ist, als die Ergänzung von gμν. Denn man hat
§ 9. Gleichung der geodätischen Linie (bzw. der Punktbewegung).
Hinweis: In der Mathematik verwendet man den Begriff „geodätisch” für die theoretisch kürzeste Verbindung zwischen zwei Punkten auf gekrümmten Flächen − die geodätische Linie, welche auf der Erdkugel einer Orthodrome entspricht.
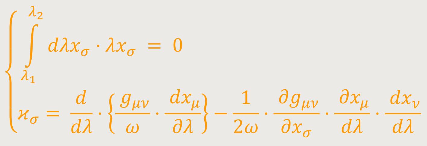
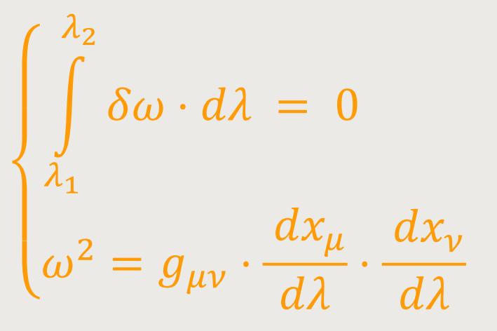
Da das „Linienelement” ds eine unabhängig vom
Koordinatensystem definierte Größe ist, hat auch die zwischen zwei Punkten
P₁ und P₂ des
Aus dieser Gleichung findet man in bekannter Weise durch Ausführung der Variation vier absolute Differentialgleichungen, welche diese geodätische Linie bestimmen. Diese Ableitung führte Einstein der Vollständigkeit hier mit auf. Es sei λ eine Funktion der Koordinaten xν. Diese definiert eine Schar von Flächen, welche die gesuchte geodätische Linie sowie alle ihr unendlich benachbarten, durch die Punkte P₁ und P₂ gezogenen Linien schneiden. Jede solche Kurve kann dann dadurch gegeben werden, dass ihre Koordinaten xν in Funktion von λ ausgedrückt werden. Das Zeichen δ soll dabei dem Übergang von einem Punkt der gesuchten geodätischen Linie zu demjenigen Punkt einer benachbarten Kurve entsprechen, welcher zu dem erwähnten λ gehört. Dann lässt sich (20) ersetzen durch: (20a)
Da aber
so erhält man nach Einsetzen von
wobei sich nach partieller Integration ergibt: (20b)
Hieraus folgt wegen der freien Wählbarkeit der
die Gleichungen der geodätischen Linie. Ist auf der betrachteten geodätischen
Linie nicht
oder durch bloße Änderung der Bezeichnungsweise ergibt sich: (20d)
Wobei nach Christoffel festgelegt ist: (21)
Multipliziert man schließlich (20d) mit gστ (äußere Multiplikation bezüglich τ, innere bezüglich σ, so erhält man schließlich als endgütige Form der Gleichung der geodätischen Linie: (22)
Hierbei ist nach Christoffel festgelegt: (23)
⇦ Kapitel Kapitel ⇨
