Laut Einstein versetzen uns die im Teil B entwickelten mathematischen Hilfsmittel in die Lage, die physikalischen Gesetze der Materie (Hydrodynamik, Maxwellsche Elektrodynamik), wie sie in der Speziellen Relativitätstheorie bereits formuliert vorlagen, so zu verallgemeinern, dass sie in die Allgemeine Relativitätstheorie hineinpassen. Das allgemeine Relativitätsprinzip führt zwar zu keiner weiteren Einschränkung der Möglichkeiten, dennoch vermittelt es den Einfluss des Gravitationsfeldes auf alle Prozesse exakt, ohne dass irgendwelche neue Hypothese eingeführt werden müsste.
Diese Sachlage bringt es mit sich, dass über die physikalische Natur der Materie (im engeren Sinne) nicht zwingend bestimmte Voraussetzungen eingeführt werden müssen. Insbesondere kann die Frage offen bleiben, ob die Theorie des elektromagnetischen Feldes und des Gravitationsfeldes zusammen eine hinreichende Basis für die Theorie der Materie liefern oder nicht. Das allgemeine Relativitätspostulat kann hierzu im Prinzip nichts beitragen. Es muss sich bei dem Ausbau der Theorie zeigen, ob Elektromagnetik und Gravitationslehre zusammen leisten können, was ersterer allein nicht gelingen will.
§19. Eulersche Gleichungen für reibungslose adiabatische Flüssigkeiten.
Es seien p und ϱ zwei Skalare, bei denen es sich um den Druck und die Dichte einer Flüssigkeit handelt, wobei zwischen ihnen eine Gleichung bestehe. Der kontravariante symmetrische Tensor sei der kontravariante Energietensor der Flüssigkeit: (58)
Zu ihm gehört der kovariante Tensor: (58a)
sowie der gemischte Tensor: (58b)
Einstein ergänzt hierzu, dass für einen mitbewegten Beobachter, der im
unendlich Kleinen ein Bezugssystem im Sinne der Speziellen Relativitätstheorie
benutzt, die Energiedichte T44 gleich
Setzt man die rechte Seite von (58b) in (57a) ein, so erhält man die Eulerschen hydrodynamischen Gleichungen der Allgemeinen Relativitätstheorie. Diese lösen das Bewegungsproblem im Prinzip vollständig. Denn die vier Gleichungen (57a) zusammen mit der gegebenen Gleichung zwischen p und ϱ und der Gleichung
genügen bei gegebenen gαβ zur Bestimmung der folgenden 6 Unbekannten:
Sind auch die gμν unbekannt, so kommen hierzu noch die Gleichungen (53). Dies sind 11 Gleichungen zur Bestimmung der 10 Funktionen gμν, so dass diese überbestimmt scheinen. Es ist indessen zu beachten, dass die Gleichungen (57a) in den Gleichungen (53) bereits enthalten sind, so dass letztere nur mehr 7 unabhängige Gleichungen repräsentieren. Diese Unbestimmtheit hat ihren Grund darin, dass die weitgehende Freiheit in der Wahl der Koordinaten es mit sich bringt, dass das Problem mathematisch in dem Maße unbestimmt bleibt, dass drei der Raumfunktionen beliebig gewählt werden können.
Hierzu ergänzt Einstein, dass bei Verzicht auf die Koordinatenwahl
gemäß
§ 20. Maxwellsche elektromagnetische Feldgleichungen für das Vakuum.
Es seien φν die Komponenten eines kovarianten Vierervektors, und zwar des Vierervektors des elektromagnetischen Potentials. Aus ihnen bildet man gemäß (36) die Komponenten Fϱσ des kovarianten Sechservektors des elektromagnetischen Feldes gemäß folgendem Gleichungssystem: (59)
Aus (59) folgt, dass das folgendes Gleichungssystem erfüllt ist: (60)
Wobei dessen linke Seite gemäß (37) ein antisymmetrischer Tensor dritten Ranges ist. Das System (60) enthält also im Wesentlichen 4 Gleichungen, die ausgeschrieben wie folgt lauten: (60a)
Dieses Gleichungssystem entspricht dem zweiten Gleichungssystem Maxwells. Nach Einsteins Worten würde man dies sofort erkennen, wenn man folgendes festlegt: (61)
Dann kann man statt (60a) in der üblichen Schreibweise der
Das erste Maxwellsche System erhält man durch Verallgemeinerung der von Minkowski angegebenen Form. Nun führt man den zu Fαβ gehörenden kontravarianten Sechservektor ein: (62)
Sowie den kontravarianten Vierervektor
Legt man nämlich folgendes fest: (64)
Wobei dessen Größen im Spezialfall der Speziellen Relativitätstheorie
den Größen
So erhält man an Stelle von (63): (63a)
Die Gleichungen (60), (62) und (63) bilden also die Verallgemeinerung der Maxwellschen Feldgleichungen des Vakuums bei der im vorliegenden Fall bezüglich der Koordinatenwahl getroffenen Festsetzung.
Die Energiekomponenten des elektromagnetischen Feldes. Man bildet das innere Produkt: (65)
Seine Komponenten lauten gemäß (61) in
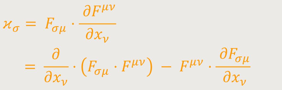
Es ist ϰσ ein kovarianter Vierervektor, dessen Komponenten gleich sind mit dem negativen Impuls bzw. der Energie, welche pro Zeit- und Volumeneinheit auf das elektromagnetische Feld von den elektrischen Massen übertragen werden. Sind die elektrischen Massen frei, das heißt stehen sie allein unter dem Einfluss des elektromagnetischen Feldes, so wird der kovariante Vierervektor ϰσ verschwinden.
Um die Energiekomponenten Tσν des
elektromagnetischen Feldes zu erhalten, muss der Gleichung
Das zweite Glied der rechten Seite ermöglicht auf Grundlage von (60) die Umformung:
Dessen letzter Ausdruck kann aus Symmetriegründen auch wie folgt geschrieben werden:
Hierfür aber lässt sich auch festlegen:
Das erste dieser Glieder lautet in gekürzter Schreibweise:
Das zweite Gleid ergibt nach Ausführung der Differentiation nach einiger Umformung:
Fasst man alle drei berechneten Glieder zusammen, so erhält man folgende Relation: (66)
Wobei sich ergibt: (66a)
Die Gleichung (66) ist für unterschiedliche ϰσ wegen (30) mit (57) bzw. (57a) gleichwertig. Es sind also die Tσν die Energiekomponenten des elektromagnetischen Feldes. Mithilfe von (61) und (64) lässt sich leicht zeigen, dass diese Energiekomponenten des elektromagnetischen Feldes im Fall der Speziellen Relativitätstheorie die wohlbekannten Maxwell-Pointingschen Ausdrücke ergeben.
Es wurden also die grundlegenden Gesetze abgeleitet, welche für das
Gravitationsfeld und die Materie maßgeblich sind, indem man sich konsequent eines
Koordinatensystems bedient hat, für welches
Immerhin sei aus Einsteins Sicht die Frage nicht ohne formales Interesse, ob bei entsprechend verallgemeinerter Definition der Energiekomponenten des Gravitationsfeldes und der Materie auch ohne Spezialisierung des Koordinatensystems Erhaltungssätze von der Gestalt der Gleichung (56) sowie Feldgleichungen der Gravitation von der Art der Gleichungen (52) und (52a) gelten, und zwar in der Weise, dass links eine Divergenz (im gewöhnlichen Sinne), dagegen rechts die Summe der Energiekomponenten der Materie und der Gravitation steht. Einstein habe herausgefunden, dass tatsächlich beides der Fall ist. Doch er glaubte, dass eine Darlegung seiner ziemlich umfangreichen Betrachtungen über diesen Sachverhalt sich nicht lohnen würde, da sich inhaltlich nicht Neues dabei ergibt.
§ 21. Newtons Theorie als erste Näherung.
Wie schon mehrfach erwähnt, ist die Spezielle Relativitätstheorie ein Spezialfall der Allgemeinen und dadurch charakterisiert, dass die gμν die konstanten Werte (4) haben. Dies bedeutet nach dem bisher Behandelten eine völlige Vernachlässigung der Gravitationswirkungen. Eine mehr an der Wirklichkeit orientierte Approximation erhält man, indem man den Fall betrachtet, bei dem die gμν von den Werten (4) nur um (gegen 1) kleine Größen abweichen, wobei kleine Größen zweiten und höheren Grades vernachlässigt werden. Das wäre ein erster Gesichtspunkt der Approximation.
Ferner soll angenommen werden, dass in dem betrachteten raumzeitlichen Gebiet die gμν im räumlich Unendlichen bei passender Wahl der Koordinaten den Werten (4) zustreben, das heißt man betrachtet Gravitationsfelder, welche als ausschließlich durch im Endlichen befindliche Materie erzeugt betrachtet werden können.
Man könnte annehmen, dass diese Vernachlässigungen auf Newtons Theorie hinführen müssten. Stattdessen bedarf es hierfür noch der approximativen Behandlung der Grundgleichungen nach einem zweiten Gesichtspunkt. Indem man die Bewegung eines Massepunktes gemäß den Gleichungen (46) betrachtet. Im Fall der Speziellen Relativitätstheorie können folgende Komponenten beliebige Werte annehmen:
Dies bedeutet, dass beliebige Geschwindigkeiten auftreten können,
die kleiner sind als die Vakuumlichtgeschwindigkeit (v < 1). Will man sich auf den ausschließlich unserer Erfahrung beruhenden Fall beschränken, dass v gegen die Lichtgeschwindigkeit klein ist, so bedeutet dies, dass nachfolgende Komponenten als kleine Größen zu behandeln sind:
Während
Nun gilt zu beachten, dass nach dem ersten Gesichtspunkt der Approximation die Größen Γμτν alle kleine Größen mindestens erster Ordnung sind. Ein Blick auf (46) zeigt also, dass in dieser Gleichung gemäß dem zweiten Gesichtspunkt der Approximation nur Glieder zu berücksichtigen sind, für welche μ = ν = 4 gilt. Bei Beschränkung auf Glieder niedrigster Ordnung erhält man an Stelle von (46) zunächst folgende Gleichungen:
Wobei ds = dx₄ = dt festgelegt ist, oder unter Beschränkung auf Glieder, die nach dem ersten Gesichtspunkt der Approximation erster Ordnung gilt:
Setzt man außerdem voraus, dass das Gravitationsfeld ein quasi statisches sei, indem man sich auf den Fall beschränkt, dass die das Gravitationsfeld erzeugende Materie sich nur langsam (im Vergleich mit der Fortpflanzungsgeschwindigkeit des Lichtes) bewegt, so kann man auf der rechten Seite Ableitungen nach der Zeit neben solchen nach den örtlichen Koordinaten vernachlässigen, so dass man erhält: (67)
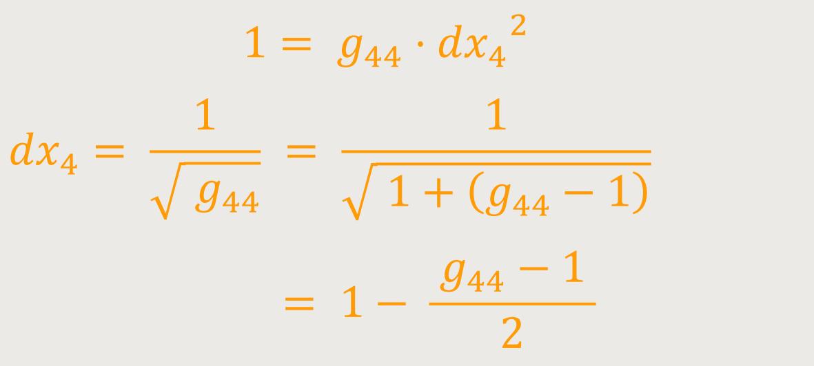
Dies ist die Bewegungsgleichung des materiellen Punktes nach Newtons Theorie, wobei g₄₄/2 die Rolle des Gravitationspotentials übernimmt. Das Merkwürdige an diesem Resultat ist, dass nur die Komponente g₄₄ des Fundamentaltensors allein in erster Näherung die Bewegung des materiellen Punktes bestimmt.
Wir wenden uns nun den Feldgleichungen (53) zu. Dabei ist zu berücksichtigen, dass der Energietensor der „Materie” fast ausschließlich durch die Dichte ϱ der Materie im engeren Sinne bestimmt wird, das heißt durch das zweite Glied der rechten Seite von (58) [bzw. (58a) oder (58b)]. Bildet man die uns interessierende Näherung, so verschwinden alle Komponenten bis auf die Komponente:
Auf der linken Seite von (53) ist das zweite Glied klein von zweiter Ordnung. Das erste Glied liefert in der uns interessierenden Näherung:
Dies liefert für μ = ν = 4 bei Weglassung von nach der Zeit differenzierten Gliedern:
Die letzte der Gleichungen (53) liefert also: (68)
Die Gleichungen (67) und (68) zusammen sind äquivalent mit dem Newtonschen Gravitationsgesetz.
Für das Gravitationspotential ergibt sich nach (67) und (68) der Ausdruck: (68a)
Während Newtons Theorie bei der von uns gewählten Zeiteinheit folgendes ergibt:
Wobei nach Einstein K die allgemein als
Gravitationskonstante bezeichnete Konstante
Hinweis: Heute schreibt man für die Gravitationskonstante:
§ 22. Verhalten von Maßstäben und Uhren im statischen Gravitationsfeld. Krümmung der Lichtstrahlen. Perihelbewegung der Planetenbahnen.
Um die Newtonsche Theorie als erste Näherung zu erhalten, braucht man von den
10 Komponenten des Gravitationspotentials
gμν nur
g44 zu berechnen, da nur diese
Komponente in die erste Näherung (67) der Bewegungsgleichung
des materiellen Punktes im Gravitationsfeld eingeht. Man kann indessen schon daraus
erkennen, dass noch andere Komponenten der
gμν von den in (4)
angegebenen Werten in erster Näherung abweichen müssen, dass letzteres durch die
Bedingung
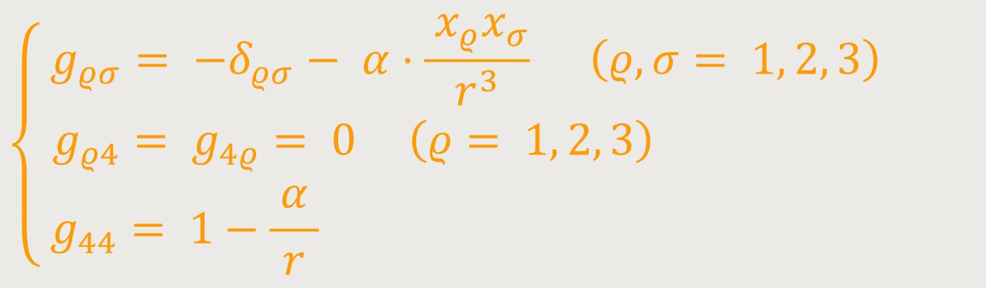
Für einen im Anfangspunkt des Koordinatensystems befindlichen felderzeugenden Massenpunkt erhält man in erster Näherung folgende radialsymmetrische Lösung: (70)
δϱσ ist dabei 1 bzw. 0,
je nachdem ob ϱ = 0 oder
Wobei r folgende Größe ist:
Wegen (68a) gilt für α: (70a)
Wobei mit M die felderzeugende Masse bezeichnet wird. Dass durch diese Lösung die Feldgleichungen (außerhalb der Masse) in erster Näherung erfüllt werden, sei nach Einsteins Aussage leicht zu verifizieren.
Nun gilt es, die Beeinflussung zu untersuchen, welche die metrischen Eigenschaften des
Raumes durch das Feld der Masse M erfahren. Stets gilt zwischen den
„lokal”
Für einen „parallel” zur
Also
Liegt der Einheitsmaßstab außerdem auf der
Aus beiden Relationen folgt in erster Näherung: (71)
Der Einheitsmaßstab erscheint also mit Bezug auf das Koordinatensystem mit dem ermittelten Betrag durch das Vorhandensein des Gravitationsfeldes verkürzt, wenn er radial angelegt wird.
Analog erhält man seine Koordinatenlänge in tangentialer Richtung, indem man beispielsweise festlegt:
Daraus ergibt sich: (71a)
Bei tangentialer Stellung hat also das Gravitationsfeld des Massenpunktes keinen Einfluss auf die Stablänge.
Es gilt demnach die Euklidische Geometrie im Gravitationsfeld nicht einmal in erster Näherung, falls man ein und denselben Stab unabhängig von seinem Ort und seiner Orientierung als Realisierung derselben Strecke auffassen will. Allerdings zeigt ein Blick auf (70a) und (69), dass die zu erwartenden Abweichungen viel zu gering sind, um sich bei der Vermessung der Erdoberfläche bemerkbar machen zu können.
Des Weiteren gilt es, ferner die auf die Zeitkoordinate untersuchte Ganggeschwindigkeit einer Einheitsuhr zu untersuchen, welche in einem statischen Gravitationsfeld ruhend angeordnet ist. Hier gilt für eine Uhrperiode:
Also ist
oder: (72)
Die Uhr läuft demnach langsamer, wenn sie in der Nähe ponderabler Massen aufgestellt ist. Es folgt daraus, dass die Spektrallinien von der Oberfläche großer Sterne zu uns gelangenden Lichtes nach dem roten Spektralende verschoben erscheinen müssen.
Untersucht man ferner den Gang der Lichtstrahlen im statischen Gravitationsfeld, so gilt gemäß der Speziellen Relativitätstheorie für die Lichtgeschwindigkeit folgende Gleichung:
Oder gemäß der Allgemeinen Relativitätstheorie durch die Gleichung: (73)
Ist die Richtung, das heißt das Verhältnis
Und damit ist die Geschwindigkeit im Sinne der Euklidischen Geometrie definiert als:
Nach Einsteins Worten ist leicht zu erkennen, dass die Lichtstrahlen gekrümmt
verlaufen müssen mit Bezug auf das Koordinatensystem, falls die
gμν nicht konstant sind. Ist
n eine Richtung senkrecht zur Lichtfortpflanzung, so ergibt
das Huygenssche Prinzip, dass der Lichtstrahl [in der Ebene
Nun gilt es, die Krümmung zu untersuchen, welche ein Lichtstrahl vollzieht, der im Abstand n an einer Masse M vorbeigeht. Wählt man das Koordinatensystem gemäß der vorstehenden Skizze, so ist die gesamte Biegung B des Lichtstrahls (positiv gerechnet, wenn sie nach dem Ursprung hin konkav ist) in genügender Näherung gegeben durch:
Während (73) und (70) folgendes ergeben:
Als Ergebnis erhält man: (74)
Laut Einsteins Berechnungen vollzieht ein an der Sonne vorbeigehender Lichtstrahl demnach eine Biegung von 1,7'', wogegen ein am Planten Jupiter vorbeigehender Strahl eine Biegung von 0,02'' vollzieht.
Berechnet man das Gravitationsfeld um eine Größenordnung genauer, und ebenso mit entsprechender Genauigkeit die Bahnbewegung eines materiellen Punktes von relativ unendlich kleiner Masse, so erhält man gegenüber den Kepler-Newtonschen-Gesetzen der Planetenbewegung eine Abweichung von folgender Art. Die Bahnellipse eines Planeten erfährt in Richtung der Bahnbewegung pro Umlauf eine langsame Drehung mit folgendem Wert: (75)
In dieser Formel bedeutet a die große Halbachse, c die Lichtgeschwindigkeit in üblichem Maße, e die Exzentrizität, T die Umlaufzeit in Sekunden.
Die Berechnung ergibt für den Planeten Merkur eine Drehung der Bahn um 43'' pro Jahrhundert, genau entsprechend der Konstatierung des Astronomen Le Verrier. Dieser fand nämlich einen durch Störungen der übrigen Planeten nicht erklärbaren Rest der Perihelbewegung dieses Planeten von der angegeben Größe.
⇦ Kapitel Kapitel ⇨
