− Teil B (2)
§ 10. Die Bildung von Tensoren durch Differentiation
Gestützt auf die Gleichung der geodätischen Linie lassen sich leicht die Gesetze ableiten, nach welchen durch Differentiation aus Tensoren neue Tensoren gebildet werden können. Dadurch wird man erst in die Lage versetzt, allgemein kovariante Differentialgleichungen aufzustellen. Man erreicht dieses Ziel durch wiederholte Anwendung des nachfolgenden einfachen Satzes.
Ist in unserem Kontinuum eine Kurve gegeben, deren Punkte durch die Bogendistanz s von einem Fixpunkt auf der Kurve charakterisiert sind, und ist ferner φ eine invariante Raumfunktion, so ist auch dφ/ds eine Invariante. Der Beweis liegt darin, dass sowohl dφ als auch ds Invariante sind.
Da
so ist auch
eine Invariante, und zwar für alle Kurven, die von einem Punkt des Kontinuums ausgehen, das heißt für beliebige Wahl des Vektors der dxμ. Daraus folgt unmittelbar, dass: (24)
ein kovarianter Vierervektor ist (Gradient von φ).
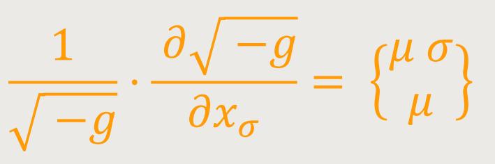
Nach diesem Satz ist ebenso der auf einer Kurve genommene Differentialquotient
eine Invariante. Durch Einsetzten von ψ erhält man zunächst:
Hieraus lässt sich zunächst die Existenz eines Tensors nicht ableiten. Legt man
nun aber fest, dass die Kurve, auf welcher differenziert wurde, eine geodätische Kurve
sei, so erhält man nach (22) durch Einsetzen von
Aus der Vertauschbarkeit der Differentiationen nach μ und
ν und daraus, dass gemäß (23) und
(21) die Klammer
ein kovarianter Tensor zweiten Ranges ist. Als Ergebnis lässt sich sagen: Aus dem kovarianten Tensor ersten Ranges
kann durch Differentiation ein kovarianter Tensor zweiten Ranges gebildet werden: (26)
Man bezeichnet den Tensor Aμν als die „Erweiterung” des Tensors Aμ. Nach Einsteins Worten lässt sich zunächst leicht zeigen, dass diese Umformung auch dann auf einen Tensor führt, wenn der Vektor Aμ nicht als ein Gradient darstellbar ist. Um dies nachzuvollziehen, sei zunächst erwähnt, dass
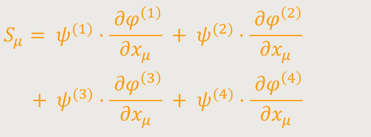
ein kovarianter Vierervektor ist, wobei ψ und φ Skalare sind. Dies ist auch der Fall für eine aus vier solchen Gliedern bestehende Summe
falls
um zu erreichen, dass Sμ gleich Aμ wird.
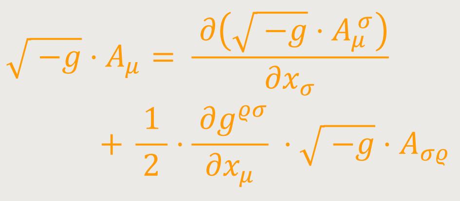
Um daher zu beweisen, dass Aμν ein Tensor ist, wenn auf der rechten Seite für Aμ ein beliebiger kovarianter Vierervektor eingesetzt wird, braucht man nur zu zeigen, dass dies für den Vierervektor Sμ zutrifft. Für Letzteres ist es aber, wie ein Blick auf die rechte Seite von (26) zeigt, hinreichend, den Nachweis für den Fall
zu führen. Es hat nun die mit ψ multiplizierte rechte Seite von (25) Tensorcharakter:
Ebenso ist
ein Tensor (äußeres Produkt zweier Vierervektoren). Durch Addition folgt der Tensorcharakter von
Damit ist, wie ein erneuter Blick auf (26) zeigt, der verlangte Nachweis für den Vierervektor
und daher nach dem zuvor Bewiesenen für jeden beliebigen Vierervektor Aμ geführt.
Mit Hilfe der Erweiterung des Vierervektors kann man leicht die „Erweiterung” eines kovarianten Tensors beliebigen Ranges definieren. Diese Umformung ist eine Verallgemeinerung der Erweiterung des Vierervektors. Einstein beschränkte sich dabei auf die Aufstellung der Erweiterung des Tensors zweiten Ranges, da dieser das Bildungsgesetz bereits klar erkennen lässt.
Wie bereits erwähnt, lässt sich jeder kovariante Tensor zweiten Ranges darstellen
als eine Summe von Tensoren vom Typus
An dieser Stelle ergänzt Einstein: Durch äußere Multiplikation der
Vektoren mit den (beliebig gegebenen) Komponenten
Durch Addition von vier Tensoren von diesem Typ erhält man den Tensor Aμν mit beliebig vorgeschriebenen Komponenten.
Nach Einsteins Worten würde es deshalb genügen, den Ausdruck der Erweiterung für einen solchen speziellen Tensor abzuleiten. Gemäß (26) haben nachfolgende Ausdrücke Tensorcharakter:
Durch äußere Multiplikation des ersten mit Bν
und des zweiten mit Aμ erhält man je einen Tensor
dritten Ranges. Deren Addition ergibt den Tensor dritten Ranges, wobei
Da die rechte Seite von (27) linear und homogen bezüglich
der Aμν und deren ersten Ableitungen ist, führt
dieses Bildungsgesetz nicht nur bei einem Tensor vom Typus
Es sei erwähnt, dass (26) und (24) nur spezielle Fälle von (27) sind (hier die Erweiterung des Tensors ersten bzw. nullten Ranges). Grundsätzlich lassen sich alle speziellen Bildungsgesetze von Tensoren in Bezug auf (27) in Verbindung mit Tensormultiplikationen auffassen.
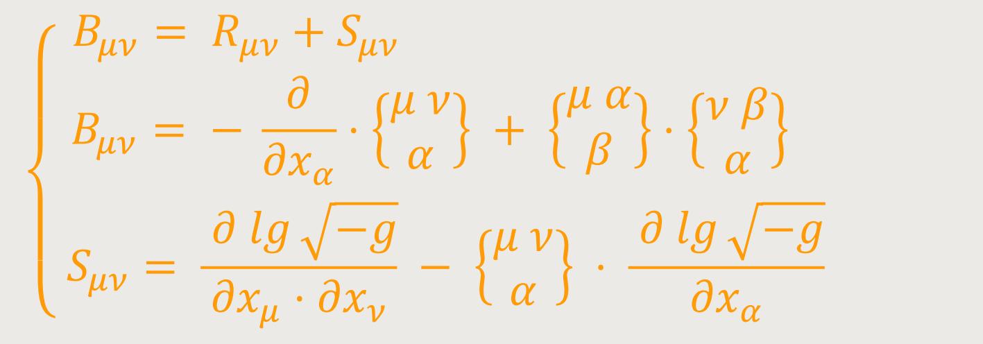
§ 11. Einige Spezialfälle von besonderer Bedeutung.
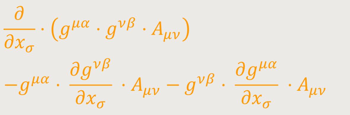
Einige den Fundamentaltensor betreffende Hilfssätze. Einstein leitete auch hier im Nachfolgenden zunächst einige viel gebrauchte Hilfsgleichungen ab. Nach der Regel von der Differentiation der Determinanten ist: (28)
Die letzte Form rechtfertigt sich durch die vorletzte, wenn man bedenkt, dass
woraus folgt, dass:
Aus (28) folgt: (29)
Aus
folgt ferner durch Differentiation: (30)
Durch gemischte Multiplikation mit gστ bzw. gνλ erhält man hieraus (bei geänderter Bezeichnungsweise der Indizes): (31)
bzw.: (32)
Die Beziehung (31) erlaubt eine Umformung, von der ebenfalls des Öfteren Gebrauch gemacht wird. Gemäß (21) ist: (33)
Setzt man dieen Ausdruck in die zweite der Formeln (31) ein, so erhält man mit Rücksicht auf (23): (34)
Durch Substitution der rechten Seite von (34) in (29) ergibt sich: (29a)
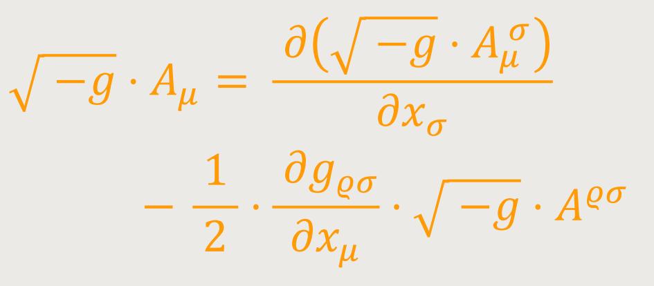
Divergenz des kontravarianten Vierervektors. Multipliziert man (26) mit dem kontravarianten Fundamentaltensor gμν (innere Multiplikation), so nimmt die rechte Seite nach Umformung des ersten Gliedes zunächst folgende Form an:
Das letzte Glied dieses Ausdrucks kann gemäß (31) und (29) in folgende Form gebracht werden:
Da es auf die Benennung der Summationsindizes nicht ankommt, heben sich die beiden ersten Glieder dieses Ausdrucks gegen das zweite des obigen weg. Das letzte Glied lässt sich mit dem ersten des obigen Ausdrucks vereinigen. Setzt man noch
wobei Aν ebenso wie Aμ ein frei wählbarer Vektor ist, so erhält man abschließend: (35)
Dieser Skalar ist die Divergenz des kontravarianten Vierervektors Aν.
„Rotation” des (kovarianten) Vierervektors. Das zweite Glied in (26) ist in den Indizes μ und ν symmetrisch. Es ist deshalb Aμν − Aνμ ein besonders einfach gebauter (antisymmetrischer) Tensor. Man erhält: (36)
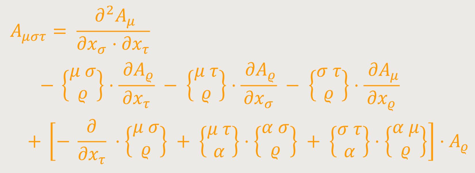
Antisymmetrische Erweiterung eines Sechsertensors. Wendet man (27) auf einen antisymmetrischen Tensor zweiten Ranges Aμν an, und bildet hierzu die beiden durch zyklische Vertauschung der Indizes μ, ν, σ entstehenden Gleichungen und addiert diese drei Gleichungen, so erhält man den Tensor dritten Ranges: (37)
Nach Einsteins Worten sei leicht zu beweisen ist, dass dieser Tensor antisymmetrisch ist.
Divergenz des Sechservektors. Multipliziert man (27)
mit
Ersetzt man gμα
gνβ Aμνσ
durch Aσαβ sowie
mithilfe (34), so entsteht aus der rechten Seite von (27) ein Ausdruck mit sieben Gliedern, von dem sich vier Glieder wegheben. Letztlich bleibt übrig: (38)
Dies ist der Ausdruck für die Erweiterung eines kontravarianten Tensors zweiten Ranges, der sich entsprechend auch für kontravariante Tensoren höheren und niedrigeren Ranges bilden lässt.
Es ist anzumerken, dass sich auf analogem Weg auch die Erweiterung eines gemischten Tensors Aμα bilden lässt: (39):
Durch Verjüngung von (38) bezüglich des Indizes β und σ (innere Multiplikation mit δβσ) erhält man den kontravarianten Vierervektor:
Wegen der Symmetrie von { βαϰ } bezüglich der Indizes β und ϰ verschwindet das dritte Glied der rechten Seite, falls Aαβ ein antisymmetrischer Tensor ist, was vorausgesetzt wird. Das zweite Glied lässt sich gemäß (29a) umformen. Man erhält daher: (40)
Dies ist der Ausdruck der Divergenz eines kontravarianten Sechservektors.
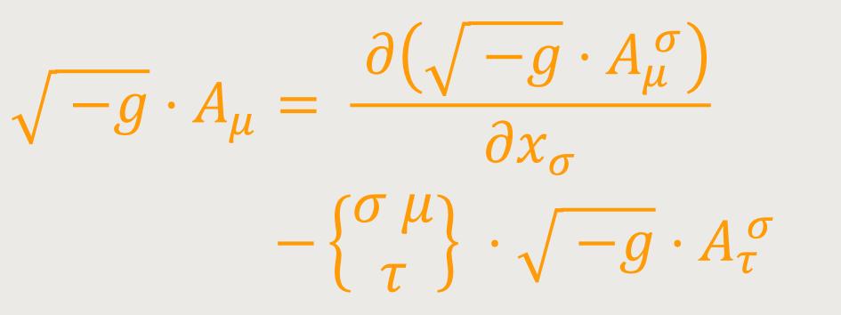
Divergenz des gemischten Tensors zweiten Ranges. Bilden wir die Verjüngung von (39) bezüglich der Indizes α und σ, so erhalten wir mit Rücksicht auf (29a): (41)
Führt man im letzten Glied den kontravarianten Tensor
Ist ferner der Tensor Aρσ ein symmetrischer, so reduziert sich der Ausdruck auf:
Hätte man statt Aϱσ den ebenfalls
symmetrischen kovarianten Tensor
In dem betrachteten Symmetriefall kann also (41) auch durch die Formen: (41a)
und: (41b)
ersetzt werden, von dem im Nachfolgenden Gebrauch gemacht wird.
§ 12. Der Riemann-Christoffelsche Tensor.
Nun geht es um Frage nach denjenigen Tensoren, welche aus dem Fundamentaltensor der gμν allein durch Differentiation gewonnen werden können. Die Antwort scheint nach Einstein zunächst auf der Hand zu liegen. Man setzt in (27) statt des beliebig gegebenen Tensors Aμν den Fundamentaltensor gμν ein, und erhält dadurch einen neuen Tensor, nämlich die Erweiterung des Fundamentaltensors. Man kann sich jedoch leicht davon überzeugen, dass diese letztere in gleicher Weise verschwindet, indem man auf folgendem Weg zum Ziel gelangt. Man setzt in (27) folgendes ein:
das heißt, die Erweiterung des Vierervektors Aν. Dann erhält man (bei etwas geänderter Benennung der Indizes) den Tensor dritten Ranges:
Dieser Ausdruck lädt nach Einsteins Worten förmlich zur Bildung des Tensors
bzw.: (43)
Wesentlich ist an diesem Resultat, dass auf der rechten Seite von (42)
nur die Aϱ, aber nicht mehr ihre Ableitungen
auftreten. Aus dem Tensorcharakter von
Die mathematische Bedeutung dieses Tensors lässt sich wie folgt beschrieben. Wenn das Kontinuum so beschaffen ist, dass es ein Koordinatensystem gibt, bezüglich dessen gμν Konstanten sind, so verschwinden alle Rμϱστ. Wählt man statt des ursprünglichen Koordinatensystems ein beliebiges neues, so werden die auf letzteres bezogenen gμν keine Konstanten sein.
Der Tensorcharakter von Rμϱστ bringt es aber mit sich, dass diese Komponenten auch in dem beliebig gewählten Bezugssystem gänzlich verschwinden. Das Verschwinden des Riemannschen Tensors ist also eine notwendige Bedingung dafür, dass durch geeignete Wahl des Bezugssystems die Konstanz der gμν herbeigeführt werden kann. In vorliegender Fragestellung entspricht dies dem Fall, dass bei passender Wahl des Koordinatensystems in begrenzten raumzeitlichen Gebieten die Spezielle Relativitätstheorie gilt.
Durch Verjüngung von (43) bezüglich des Indizes τ und ϱ erhält man den kovarianten Tensor zweiten Ranges: (44)
Bemerkung über die Koordinatenwahl. Es ist schon in §8
im Anschluss an die Gleichung (18a) erwähnt worden, dass die
Koordinatenwahl bevorzugt so getroffen werden kann, dass
Aus diesem Grund ging Einstein im Nachfolgenden dazu über, alle Beziehungen in der vereinfachten Form anzugeben, welche die genannte Spezialisierung der Koordinatenwahl mit sich bringt. Nach seinen Worten sei es dann ein Leichtes, auf die allgemein kovarianten Gleichungen zurückzugreifen, falls dies in einem speziellen Fall erwünscht erscheint.
⇦ Kapitel Kapitel ⇨
