(Übersetzung)
Bemerkungen zu Einsteins Hypothese
Nun folgt eine nähere Beschreibung in Anlehnung an die Originialschrift von Willem de Sitter, die aus dem Englischen übersetzt wurde. De-Sitter hatte folgende Überlegung:
Wenn man die Gravitationswirkung jeder gewöhnlichen Materie, wie zum Beispiel
die der Sterne und Planeten vernachlässigt, und wenn man ein Bezugssystem bestehend
aus drei rechtwinkligen Raumkoordinaten und der Zeit verwendet, und dieses mit der
Lichtgeschwindigkeit c multipliziert, dann ergibt sich
eine
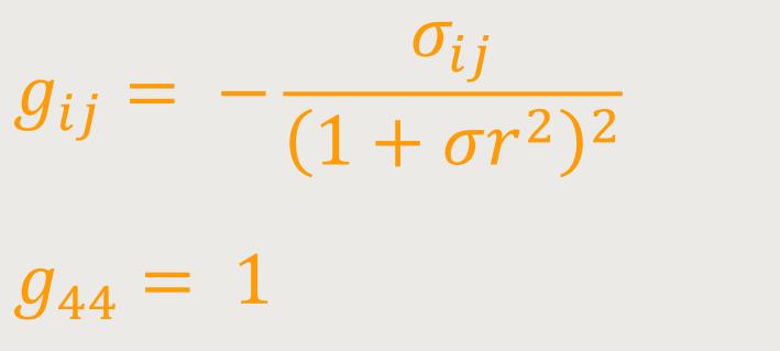
Der metrische Tensor gμν gleicht annähernd der bestehenden Relativitätstheorie, nämlich (1):
Den Aspekt der Raum-Zeit, der sich gemäß dieser Matrix beschreiben lässt, bezeichnete De-Sitter als „unsere Umgebung”. Im Weltall erstreckt sie sich mindestens bis zum entferntesten Stern, Nebel oder Sternhaufen, in welchen wir eindeutige Spektrallinien erkennen können.
Wir wissen nicht, wie sich die gμν außerhalb unserer Umgebung verhalten, und jede Annahme über ihre Werte ist nur eine Abschätzung, deren Unsicherheit mit der Entfernung, entweder im Raum oder in der Zeit, wenn nicht sogar in beiden vom Ursprung aus zunimmt. Wie sich die gμν in der Unendlichkeit des Raums und der Zeit verhalten, werden wir nie erfahren.
Aber dennoch besteht eine Notwendigkeit, Hypothesen zu diesem Thema aufzustellen. Eine grobe Abschätzung zu machen, ist etwas ganz normales und in der klassischen Mechanik üblich, zumal die obigen Werte gemäß (1) für den gesamten Raum und die Zeit bis ins Unendliche unverändert bleiben. Andererseits entsteht der Wunsch, Integrationskonstanten oder andere Grenzwerte im Unendlichen zu verwenden, die in allen Bezugssystemen gleich sind. Doch obige Werte (1) erfüllen diese Bedingung nicht. Der bevorzugte und einfachste Wert für gμν im Unendlichen ist offensichtlich Null. Einstein sei es nicht gelungen derartige Werte für die Randbedingungen festzulegen.
Im Nachfolgenden wollte De-Sitter aufzeigen, dass die Hypothese von Einstein äquivalent ist mit einer bestimmten Menge von Werten im Unendlichen, die der Matrix gemäß (2 A) entspricht. Es ist in der Tat offensichtlich, dass, wenn die Ausmaße des Universums endlich sind, und euklidische Koordinaten eingeführt werden die gμν im Unendlichen notwendigerweise zu Null werden. Und umgekehrt, wenn die gμν im Unendlichen bei einer ausreichend hohen Rangordnung Null, dann ist das Universum endlich in seinen Ausmaßen.
Und daraus würde sich nach De-Sitter die Hypothese ergeben, dass das Universum nicht unendlich ist, sondern sphärisch. In diesem Fall würden keine Randbedingungen benötigt, und das Problem sei aus der Welt.
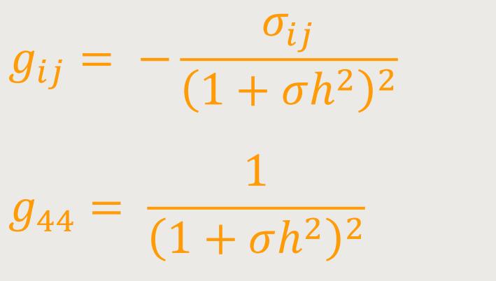
Aus Sicht der Relativitätstheorie erscheint es auf den ersten Blick falsch, zu sagen: Die Welt ist sphärisch oder kugelförmig, obwohl sie sich durch eine Transformation analog zu einer stereographischen Projektion in einem euklidischen Raum darstellen lässt. Dies ist eine durchaus legitime Transformation, die die verschiedenen Invarianten ds², G usw. unverändert lässt. Aber gerade diese Unveränderlichkeit zeigt, dass im euklidischen Koordinatensystem die Welt in ihren Ausmaßen endlich und sphärisch bleibt. Wenn diese Transformation, die Einstein für seine sphärische Welt definiert hatte, auf die gμν angewendet wird, werden sie in ein Wertesystem transformiert, dessen Werte schließlich verschwinden zu (2A):
Es scheint jedoch, dass die gμν der Sphärenwelt Einsteins, und damit auch ihre transformierten Werte im euklidischen Bezugssystem, nicht den ursprünglich angenommenen Differentialgleichungen von Einstein genügen, die wie folgt lauten (3):
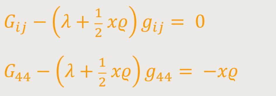
Einstein hielt es daher für notwendig, einen weiteren Term in seiner Gleichung hinzuzufügen, woraus sich ergibt (4):
Außerdem wäre es notwendig, den gesamten
Nach seinen Worten würde Einstein lediglich davon ausgehen, dass der
Aufgrund dieser Annahme bleibt in obigem Wertesystem (2A) der
Tensor g44 beim Wert Eins, anstatt zu
Null zu werden, wie bei den anderen
gμν. Dies war ausschlaggebend für die Idee,
Einsteins Hypothese auf die
De-Sitter fügte hinzu, dass diese Überlegung, die
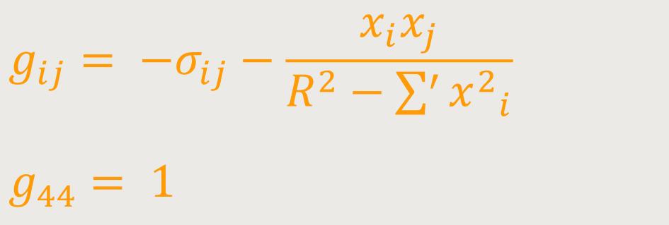
Daraus ergibt sich ein Wertesystem der gμν, in welchem die Werte im Unendlichen verschwinden zu (2B):
Dadurch ergibt sich nach De-Sitters Worten eine bemerkenswerte Situation, dass nämlich keine „Weltmaterie” mehr erforderlich ist.
Um die Ähnlichkeit beider Fälle zu betonen, stellte er beide Systeme
einander gegenüber. Die Gleichung A verweist er auf
Einsteins
Des Weiteren beschreibt ∑ eine Summe von
De-Sitter betrachtete zuerst das von Einstein verwendete Referenzsystem.
Im Fall A gilt für
Er fügte hinzu, dass man im Fall B ebenfalls
Die gμν für beide Fälle lauten
... im Fall A:
... im Fall B:
Um den sphärischen Charakter besser aufzuzeigen, führte De-Sitter hypersphärische Koordinaten ein, die sich darstellen lassen als
... für Fall A:
... für Fall B:
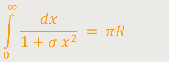
Der Ausdruck für das Integral lautet dann
... im Fall A:
... im Fall B:
Abschließend führte De-Sitter die „stereografische Projektion” ein. Sie ist eine Abbildung einer Kugelfläche in eine Ebene mit Hilfe einer Zentralprojektion. Gleichzeitig stellte er die karthesischen Koordinaten mit folgenden Transformationen dar:
Im Fall A:
Im Fall B:
Nach De-Sitters Worten muss eigentlich nicht darauf hingewiesen werden, dass
im System A die Variablen
Die gμν für die Variablen x, y, z, ct werden zu (5)
... im Fall A:
... im Fall B:
De-Sitter fügte hinzu, dass alle gμν im System B auf dem „Hyperboloid” unendlich sind (a):
Diese abweichende Kontinuität sei jedoch nur scheinbar. Die
Die Länge der Halbachse von x hat in beiden Systemen die Ausmaße:
Alle gμν außerhalb der Diagonalen haben den Wert Null. Wenn σ sehr klein ist, haben die gμν für mittlere Werte von r und h ungefähr die Werte wie gemäß der Matrix (1). Im Unendlichen hängen sie von den Werten gemäß (2A) und (2B) ab, die bereits oben angegeben wurden.
Um die Beziehung zwischen σ und λ zu finden, muss man die Werte aus obigen Gleichungen (5) in die Gleichungen (4) einsetzen. Nach De-Sitters Erkenntnis lassen sich die Werte auch in jedes andere Bezugssystem übertragen.
Es muss dabei die Möglichkeit in Betracht gezogen werden, dass es notwendig sein
könnte, eine „Weltmaterie” einzuführen. Wir
vernachlässigen zunächst die gesamte vorhandene Materie und nehmen an, dass
die Weltmaterie gleichmäßig und ruhend im gesamten Raum verteilt ist, sodass
Gemeint ist eine Verteilung, in der ϱ konstant ist, wobei mit
ϱ die Dichte in den Abmessungen gemeint ist. Im
Koordinatenbereich ist die Dichte natürlich nicht konstant, aber im System
Die Feldgleichungen werden dann zu
Für die Größen Gμν ergeben sich die zwei Systeme:
System A:
System B:
Für die dann gilt (6)
... im Fall A:
... im Fall B:
Das Ergebnis für A ist das Gleiche wie von Einstein entdeckt
wurde. Für das System B gilt
Welches der drei Systeme soll nun bevorzugt werden? Das System A mit der „Weltmaterie”, oder das System B ohne diese? Vielleicht aber beide Systeme, mit den Feldgleichungen gemäß (4) und einem metrischen Tensor gμν, der im Unendlichen der Matrix (2A) oder (2B) entspricht? Oder vielmehr das ursprüngliche System ohne Weltmaterie, mit den Feldgleichungen (3) und dem Tensor gμν aus (1), deren Werte im Unendlichen gleich bleiben?
Um aus rein physikalischer Sicht die Phänomene in unserer Umgebung zu beschreiben, sind diese Fragen belanglos. In unserer Umgebung entsprechen die gμν in allen Fällen innerhalb der Genauigkeitsgrenzen unseren Beobachtungen gemäß der Matrix (1), und die Feldgleichung gemäß (4) unterscheidet sich nicht von (3). Die Frage ist also eigentlich: Wie kann man das, was außerhalb unserer Umgebung liegt, abschätzen? Die Wahl kann daher nicht durch physikalische Argumente getroffen werden, sondern muss von metaphysischen oder philosophischen Erwägungen abhängen, wobei natürlich persönliche Ansichten oder Vorlieben einen gewissen Einfluss haben werden.
Nun zu der eigentlichen Frage: Wenn die gesamte Materie nicht existieren soll, mit Ausnahme des materiellen Punktes, der als Prüfkörper verwendet werden soll, besitzt dieser Prüfkörper dann eine Trägheit oder nicht? Nach der Lehrmeinung von E. Mach lautete die Antwort seinerzeit NEIN. Aber gemäß unserer Erfahrung lautet die Antwort ganz entschieden JA, wenn mit der gesamten Materie die gewöhnliche physikalische Materie gemeint ist, wie z. B. Sterne, Nebel oder Sternhaufen. Die Befürworter von E. Mach sind also gezwungen von vorhandener Materie auszugehen, nämlich der Weltmaterie. Wenn wir uns auf diesen Standpunkt begeben, müssen wir notwendigerweise das System A bevorzugen, welches als einziges eine Weltmaterie zulässt.
De-Sitter fügte hinzu, dass die Hypothese, die vormals von Einstein vertreten und von De-Sitter bestritten wurde, mit den Gleichungen gemäß (3), bei sehr großen Massen, bezogen auf sehr große Entfernungen, möglich wäre. Dadurch würde man für gμν Werte erhalten, die sich im Unendlichen zu einer invarianten Matrix auflösen würden, wie selbst Einstein es für möglich gehalten hat.
Diese Weltmaterie diente nach De-Sitters Worten jedoch keinem anderen Zweck, als
es möglichst nachzuvollziehen, dass sie nicht existiert. Nun zeigt die Gleichung
gemäß (6), dass, wenn sie nicht existiert, gilt
De-Sitter ging so weit zu sagen, dass man auch das Postulat von
Das System A, welches im Endeffekt die Werte gemäß der
Matrix (2A) für die gμν
beinhaltet, erfüllt dieses Postulat, wenn es nur auf die
Also ist eine gewöhnliche Lorentz-Transformation wie
... im System A nicht erlaubt, und muss ersetzt werden durch:
Wird das Postulat auf die
Diese ist allen anderen Koordinaten als „Zeit” vorzuziehen, und an allen Stellen wird nur diese Koordinate als Zeit gewählt. Dieser fundamentale Unterschied zwischen der Zeit und den Raum-Koordinaten, scheint im Widerspruch zu der völligen Symmetrie der Feldgleichungen und der Bewegungsgleichungen (Gleichungen der geodätischen Linie) bezüglich der vier Variablen zu stehen.
Auf einige Merkmale der Systeme A und B wies
De-Sitter noch hin. Im System A sei die
Lichtgeschwindigkeit variabel, und zwar im System
Im System B herrschen immer und überall gleiche Bedingungen.
Aus den Tatsachen, dass man Spektrallinien der entferntesten uns bekannten Objekte wie
den Spiralnebeln identifizieren kann und dass die Parallaxen dieser Objekte nicht
negativ sind, kann man schließen, dass bei diesen Entfernungen die Werte immer noch
bei ungefähr
Was die Wirkung von σ auf die Planetenbewegungen betrifft: In beiden Fällen ist die Orbitalebene nicht gestört. Im Fall A gibt es hier keine säkularen Terme, die abhängig sind von σ.
Im Fall B sind die enthaltenen Terme aufgrund von σ untergeordnet, aufgrund der Tatsache, dass alle gμν explizit von der Zeit abhängen. Die Bewegung im Perihel lautet dann:
... und auch die anderen Elemente haben Terme mit
... wobei
Die untergeordneten Terme bei den „Störkräften” lauten in beiden Fällen wie folgt:
Im Fall A:
Im Fall B:
Hierzu ergänzt De-Sitter noch: Die Bezeichnungen mit
De-Sitter war nicht daran gelegen, diese Obergrenze genau zu bestimmen. Für
beide Fälle könnte man annehmen, dass
Man könnte allerdings eine „Obergrenze” für σ festlegen. Um den Wert dieser Konstante zu bestimmen, wäre es notwendig, dass sie einen messbaren Einfluss auf irgendein physikalisches oder astronomisches Phänomen hat. De-Sitter war davon überzeugt, dass es natürlich nicht von vornherein auszuschließen ist, dass irgendwann in der Zukunft Beobachtungen vorgenommen werden, oder Phänomene entdeckt werden, die mit Hilfe der Konstante σ erklärt werden können.
Aber zu De-Sitters Zeiten waren keine solchen Phänomene bekannt, und es gab auch keine Hinweise auf irgendetwas in dieser Richtung. Die Konstante σ diente nach seinen Worten lediglich dazu, eines von vielen weltanschaulichen Bedürfnissen zu befriedigen, aber es sei nicht wirklich von physikalischer Bedeutung, obwohl es mathematisch als Raum-Krümmung interpretiert werden kann.
Letztlich könnte man auch beide Systeme A und B vernachlässigen und bei den ursprünglichen Feldgleichungen (3) und den Werten (1) für gμν bleiben, die sich im Unendlichen nicht verändern. Damit sei die Trägheit zwar nicht erklärt. Doch man sollte sie lieber ungeklärt lassen, als sie mit einer unbestimmten bzw. unbestimmbaren Konstante λ zu erklären. De-Sitter räumte ein, dass die Einführung dieser Konstante von der Symmetrie und Eleganz von Einsteins ursprünglicher Theorie abweicht. Insofern bliebe Einsteins Theorie unschlagbar, weil sie so vieles erklärt, ohne eine neue Hypothese oder eine empirisch gewählte Konstante einzuführen.
Willem de Sitter hatte in einem regen Briefwechsel mit Einstein die
wesentlichen Inhalte obiger Abhandlung mitgeteilt. In einem seiner Antwortschreiben
äußerte sich Albert Einstein mit den Worten:
„Es wäre nach meiner Meinung unbefriedigend, wenn es eine denkbare Welt ohne
Materie gäbe. Das
Aus De-Sitters Sicht hätte Einstein das postuliert, was De-Sitter selbst in obiger Abhandlung die logische Unmöglichkeit genannt hat, dass Materie nicht existiert. Man könnte es nach seinen Worten das „Materie-Postulat” von der Relativität der Trägheit nennen. Dieses kann nur erfüllt werden, wenn man das System A mit „seiner” Weltmaterie wählt, d. h. die Konstante λ einführt und der Zeit eine eigene Stellung unter den vier Koordinaten zuweist.
Andererseits gibt es das „mathematische Postulat” der Relativität der Trägheit, d. h. das Postulat, dass die gμν im Unendlichen invariant (unverändert) lässt. Gemäß diesem Postulat, welches wie bereits erwähnt keine wirkliche physikalische Bedeutung hat, macht Materie keinen Sinn. Es kann dennoch erfüllt werden, indem man das System B ohne eine Weltmaterie wählt und mit uneingeschränkter Relativität der Zeit.
Aber auch hier benötigt man die Konstante λ. Die Einführung dieser Konstante kann nur vermieden werden, wenn man das Postulat von der Relativität der Trägheit vollständig aufgibt.
Quellen
W. de Sitter, On the relativity of inertia. Remarks concerning Einstein's latest hypothesis, in: KNAW, Proceedings, 19 II, 1917, Amsterdam, 1917, pp. 1217-1225.Vorliegende Übersetzung, Volker Rödel ©, Hessen 2018.
⇦ Kapitel Kapitel ⇨
