In den Bereichen Mathematik und Physik entspricht ein
Im 4-dimensionalen Minkowski-Raum, den wir zuvor betrachtet haben (3 Raumdimensionen plus die Zeit), man könnte auch allgemein von der „Raumzeit” sprechen, ist der De-Sitter-Raum das Analogon zu einer Kugel im euklidischen Raum.
In der Sprache der Allgemeinen Relativitätstheorie (ART) ist der De-Sitter-Raum die maximal symmetrische Vakuumlösung der einsteinschen Feldgleichungen mit einer positiven (repulsiven) kosmologischen Konstanten Λ (entsprechend einer positiven Vakuumenergiedichte und negativem Druck) und damit ein kosmologisches Modell für das physikalische Universum. Der De-Sitter-Raum wurde 1917 von Willem de Sitter entdeckt und parallel von Tullio Levi-Civita.
Der De-Sitter-Raum kann definiert werden als Untermannigfaltigkeit eines Minkowski-Raumes einer höheren Dimension.
Betrachtet man also den Minkowski-Raum
... dann ist der De-Sitter-Raum die Untermannigfaltigkeit, die durch das einschalige Hyperboloid
... beschrieben wird, wobei α eine positive Konstante mit der Dimension einer Länge ist. Der metrische Tensor des De-Sitter-Raumes ist derjenige, der vom metrischen Tensor des Minkowski-Raumes erzeugt wird. Man kann überprüfen, dass die erzeugte Metrik nicht entartet ist und eine Signatur der Form (1, k, 0) hat.
Wenn in obiger Definition α² durch
−α² ersetzt wird, erhält man ein zweischaliges
Hyperboloid. In diesem Fall ist die erzeugte Metrik positiv definiert, und jede der beiden
Schalen ist eine Kopie einer hyperbolischen
Radius und Volumen erreichen am Zeitpunkt t = 0 ihren Minimalwert
Der De-Sitter-Raum kann auch definiert werden als Quotient
Topologisch ist der De-Sitter-Raum von der Form ℝ × Sn-1.
Die Isometriegruppe des De-Sitter-Raumes ist die Lorentz-Gruppe
Der De-Sitter-Raum ist eine Einstein-Mannigfaltigkeit, da der Ricci-Tensor Rμν proportional zur Metrik gμν ist:
Das heißt, der De-Sitter-Raum ist eine Vakuumlösung der einsteinschen Feldgleichungen mit kosmologischer Konstante:
Der Krümmungsskalar dieses Raumes ist definiert als:
Für
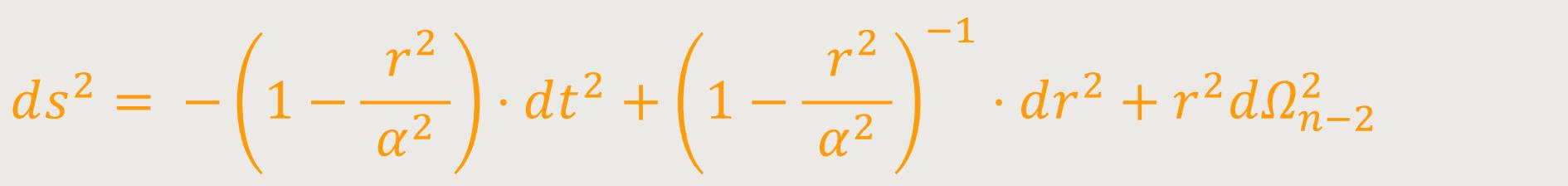
Für den De-Sitter-Raum lassen sich statische Koordinaten (Zeit t, Radius r ...) wie folgt einführen:
wobei zi die Standard-Einbettung der Sphäre S(n-2) in R(n-1) darstellt.
In diesen Koordinaten nimmt die De-Sitter-Metrik folgende Form an:
Daraus folgt, es gibt einen kosmologischen Horizont bei
⇦ Kapitel Kapitel ⇨
