Nun stellt sich die Frage, wie es im Einzelnen mit den Koordinatensystemen aussieht, wenn die Lorentz-Transformation als Grundlage dient.
Zunächst nochmals eine kurze Gegenüberstellung beider Transformationen:
Gemäß Galilei-Transformation:
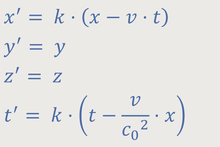
Gemäß Lorentz-Transformation:
Durch eine nähere Betrachtung wird sich zeigen, worin die wesentlichen Unterschiede zwischen der Sichtweise der klassischen Mechanik und der Relativitätsmechanik liegen.
Die Diagramme, basierend auf der Galilei-Transformation, sind nur räumliche
Diagramme. In der klassischen Mechanik spielt die Zeit eher eine untergeordnete Rolle.
Entsprechend unseres Vorstellungsvermögens bewegen wir uns überwiegend in
Aber aufgrund der Lorentz-Transformation lässt sich erkennen, dass die
Zeitkoordinate mit einbezogen werden muss, weil sich die Zeit beim Transformieren
auch ändert. Deswegen muss die Zeit in den grafischen Darstellungen mit
berücksichtigt werden. Und dementsprechend bewegt man sich in einem
Weil sich aber ein
Grafik (wird später eingefügt)
Da es ja um die Unterschiede in der Sichtweise beider Transformationen geht, bildet zunächst wieder die Galilei-Transformation die Ausgangssituation.
Die
Darüber hinaus wird die
Jetzt wollen wir das Ganze auf ein bewegtes Bezugssystem transformieren. Und hier bewegt sich insbesondere der Ursprung des Systems I' relativ zum System I.
Die t'-Achse ist die Achse, an der
Oder anders ausgedrückt:
Analog dazu entspricht die
Grafik (wird später eingefügt)
Hierzu kann in einem
Wenn also eine Transformation auf ein bewegtes Bezugssystem durchführt
wird, kippt die
Jetzt werden wir nochmals die gleichen Überlegungen aus relativistischer Sichtweise betrachten. Da man es hier mit wesentlich größeren Geschwindigkeiten zu tun hat, muss man die Achsen entsprechend anders skalieren.
Grafik (wird später eingefügt)
Die
Da die
Erneut wird das Ganze auf ein bewegtes Bezugssystem transformiert. Nach wie vor bewegt sich der Ursprung des Systems I' relativ zum System I.
Auch hier gilt für die
Ähnlich entspricht die
Nun wird erneut das bewegte System, diesmal mit einer Relativgeschwindigkeit von
Bisher gab es keine Unterschiede zwischen beiden Transformationen. Doch nun macht
sich ein Unterschied bei der
Grafik (wird später eingefügt)
Wenn man in einem Parallelkoordinatensystem mit senkrecht aufeinander
liegenden Achsen ein Ereignis E und gleichzeitig ein Ereignis
mit einer höheren Geschwindigkeit
betrachtet, finden beide Ereignisse im System I beispielsweise
zum Zeitpunkt t = 0 statt. Aber aufgrund der gekippten
Somit lässt sich wieder feststellen, dass die Gleichzeitigkeit nur auf ein bestimmtes Inertialsystem bezogen ist. Bei unterschiedlichen Inertialsystemen sind dieselben Ereignisse an verschiedenen Orten nicht mehr gleichzeitig.
Grafik (wird später eingefügt)
Wenn man jetzt noch zusätzlich das Lichtsignal in beide überlagerten
Diagramme einträgt, breitet sich dieses Signal sowohl im
Das hinaufkippen der
Grafik (wird später eingefügt)
In Erweiterung dessen lässt sich lediglich ein
Bei einem solchen Kegel liegen alle zukünftigen Ereignisse oberhalb der Bezugsebene und innerhalb des Lichtkegels, wogegen alle Ereignisse aus der Vergangenheit unterhalb der Bezugsebene und innerhalb des unteren Lichtkegels liegen. Aber alle Ereignisse außerhalb der sich kreuzenden Lichtkegel oder die direkt auf der Bezugsebene liegen, repräsentieren Ereignisse der Gegenwart.
Anhand der Lorentz-Transformation werden wir abschließend noch betrachten, wie sich die Addition von Geschwindigkeiten darstellt.
Dazu denkt man sich wieder einen Zug, der beispielsweise gerade durch einen Bahnhof fährt. Ein Beobachter betrachtet aus Sicht des Gleiskörpers dieses Ereignis und sieht, wie im Zug gerade ein Schaffner von einem Abteil ins nächste geht.
Nun stellt sich die Frage, wie schnell bewegt sich der Schaffner relativ zum Gleiskörper?
Spontan würde man denken, man benötigt die Summe aus der Zuggeschwindigkeit relativ zum Gleiskörper, zuzüglich der Geschwindigkeit des Schaffners relativ zum Zug. Stimmt das aber wirklich? Gehen wir einmal der Frage auf den Grund.
Für das System des Gleiskörpers gelten die Komponenten
Und für das System des Zuges gelten die Komponenten
Der Zug bewegt sich mit der Geschwindigkeit u relativ zum
Gleiskörper. Und der Schaffner bewegt sich mit Geschwindigkeit v
relativ zum Zug. Dann wäre die Bewegung des Schaffners relativ zum Gleiskörper
vermeintlich
Jetzt rechnen wir obiges Beispiel relativistisch aus Sicht der Lorentz-Transformation
durch hier mit
Für die Geschwindigkeit v des Schaffners relativ zum Zug gilt:
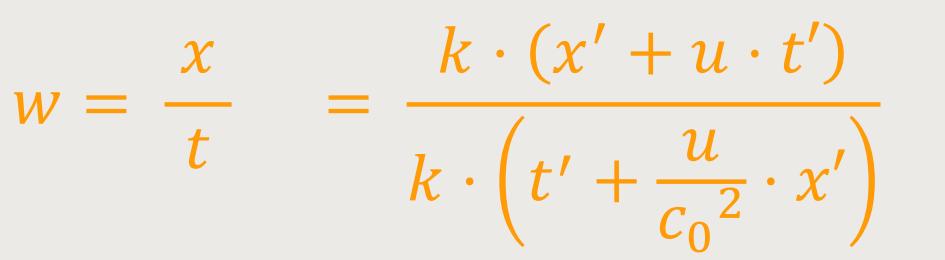
Für die Geschwindigkeit w des Schaffners relativ zum Gleiskörpers gilt:
Wenn man jetzt Zähler und Nenner durch t' dividiert, ergibt sich:
Wie man erkennen kann, kommt etwas anderes heraus. Das Ergebnis entspricht nicht
Wenn der Zug sehr langsam ist, und der Schaffner im Verhältnis dazu erst recht, dann fällt der Nenner quasi weg. Und das entspräche tatsächlich der Anfangsüberlegung. Aber wenn man sich im Bereich der Lichtgeschwindigkeit bewegt, trifft das nicht mehr zu.
Hierzu ein Rechenbeispiel:
Das Beispiel hinkt natürlich, weil jetzt Zug und Schaffner jeweils mit Lichtgeschwindigkeit unterwegs sind. Aber was wäre wenn? Dann würde sich folgendes ergeben:
Hier bestätigt sich, dass der Schaffner dem Licht nicht vorauseilen kann. Schneller als das Licht bewegt sich nichts, und damit entspricht c₀ nach wie vor der Grenzgeschwindigkeit.
Es scheint also so zu sein, dass ein Körper bei zunehmender Geschwindigkeit immer träger wird und sich nicht weiter beschleunigen lassen will. Was der Grund dafür sein könnte, betrachten wir im nächsten Kapitel.
⇦ Kapitel Kapitel ⇨
