Jetzt geht es darum, sich klar zu machen, was es mit dem Transformieren zwischen verschiedenen Bezugssystemen auf sich hat, und wir wollen versuchen unsere Erfahrungen hinsichtlich Längenkontraktion und Zeitdilatation sowie dem Fehlen der absoluten Gleichzeitigkeit in ein gemeinsames Konzept zu bringen. Das alles gelingt mithilfe der „Lorentz-Transformation”.
In diesem Zusammenhang betrachten wir im Nachfolgenden zwei Inertialsysteme
I und I'. Beide Systeme sollen sich relativ
zueinander mit einer Geschwindigkeit v bewegen. Des Weiteren
werden wir dabei die Orts- und Zeitkoordinaten betrachten. Die Ortskoordinaten nennen
wir
Außerdem setzten wird voraus, dass die räumlichen Koordinaten senkrecht
aufeinander liegen. Und die Koordinatenachsen beider Systeme sind alle parallel
zueinander. Zur der Zeit
Zuvor werden wir das Ganze aus Sicht der Galilei-Transformation betrachten.
Grafik (wird später eingefügt)
Wenn eine gewisse Zeit t verstrichen ist, wird sich der Ursprung von
dem System I' um die Strecke
Das lässt sich sofort umformen:
Das ist die klassische Bewegung bei der Galilei-Transformation.
Aus dieser Gegenüberstellung sieht man, dass es egal ist, ob man einerseits das System I' relativ zum System I mit der Geschwindigkeit v bewegen lässt, oder das System I relativ zum System I' mit der Geschwindigkeit −v. Und das ist dann ein Zeichen dafür, dass die Galilei-Transformation das Relativitätsprinzip erfüllt (siehe vorheriges Kapitel). Es muss sich jeweils aus Sicht des einen Systems, das andere System mit der Geschwindigkeit v bewegen, entweder in die eine oder in die andere Richtung, je nach Sichtweise.
Aber es stellt sich auch die Frage, ob das Prinzip von der Konstanz der Lichtgeschwindigkeit ebenfalls durch diese Transformation wiedergegeben wird?
Hierzu kann man ein Lichtsignal betrachten, das sich längs der x-Achse in dem System I ausbreitet. In diesem Fall gilt:
Wenn man diese Beziehung auf das System I' transformiert, erhält man zunächst:
Durch Einsetzten ergibt sich:
Man sieht sofort, dass sich das Lichtsignal im System I'
keineswegs mit Lichtgeschwindigkeit ausbreitet, sondern mit
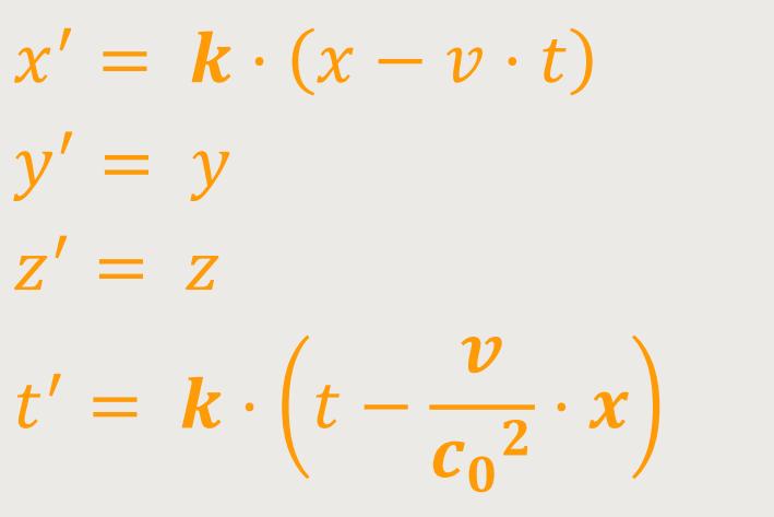
Deshalb gehen wir jetzt zu einer anderen Transformation über, und zwar der bereits angesprochenen Lorentz-Transformation. Bezogen auf die Koordinaten in dem System I und I' erhalten wir ähnliche Werte. Allerdings wird nun noch ein Korrekturfaktor k eingeführt, und es kommt bei der Zeit noch ein zusätzlicher Term hinzu.
Grafik (Folie) (wird später eingefügt)
k ist ein Korrekturfaktor (siehe Zeitdilatation)
Das lässt sich ebenfalls sofort umformen:
An dieser Stelle sei erwähnt, wenn die Geschwindigkeit v
sehr klein ist im Verhältnis zur Lichtgeschwindigkeit, wird der
Aber grundsätzlich erfüllt die Lorentz-Transformation das Relativitätsprinzip. Und wie sieht es hier mit der Konstanz der Lichtgeschwindigkeit aus?
Auch hier gehen wir zunächst davon aus, dass es ein Lichtsignal entlang der x-Achse im System I gibt. In diesem Fall gilt gleichfalls:
Wenn man diese Beziehung erneut auf das System I' transformiert, erhält man das Verhältnis der Bewegung auf der x-Achse zur verstrichenen Zeit:
Durch Einsetzten erhält man:
Nach Umformung ergibt sich:
Und damit haben wir das Prinzip von der Konstanz der Lichtgeschwindigkeit bestätigt. Das ist der überzeugende Vorteil der Lorentz-Transformation gegenüber der Galilei-Transformation.
Alles in allem handelt es sich um eine Koordinaten-Transformation zwischen zwei Systemen, so dass beide Grundprinzipien der Speziellen Relativitätsmechanik, nämlich das Prinzip von der Relativität und auch das Prinzip von der Konstanz der Lichtgeschwindigkeit erfüllt sind.
Diese Koordinaten-Transformation bildet die Grundlage für die weitere Betrachtung. Dabei gilt zu berücksichtigen, dass die Zeit bei den relativistischen Überlegungen ebenfalls eine wesentliche Rolle spielt, und diesem Umstand wird ebenfalls Rechnung getragen.
Deshalb werden wir uns als nächstes verschiedene
⇦ Kapitel Kapitel ⇨
