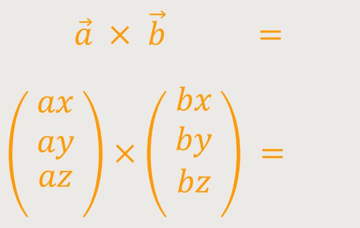
Techn. Physik ⇦ Übersicht ⇦ Zurück 3.1 Bewegung (gleichförmig) 3.2 Bewegung (gleichf. beschleunigt) 3.3 Drehimpuls 3.4 Kräfte und Drehmoment 3.5 Arbeit 3.6 Energie 3.7 Leistung 3.8 Reibung 3.9 Druckarten 3.10 Pneumatik Weiter ⇨ Drehimpuls ⇨ Allgemein ⇨ Bewegungsrichtung ⇨ (Dreh)impuls ⇨ Kreuzprodukt Allgemein Der Drehimpuls ist das vektorielle Produkt des Ortsvektors und des Impulsvektors eines Teilchens. mehr ... Wie schwer ist die rotierende Masse? kg Wie groß ist die (Tangential)geschwindigkeit? m/s Wie groß ist der Abstand zur Drehachse? m Falls der Geschwindigkeitsvektor nicht im rechten Winkel angreift:Welche x-Koordinate hat der Geschwindigkeitsvektor? (x-Wert) Welche y-Koordinate hat der Geschwindigkeitsvektor? (y-Wert) Welche z-Koordinate hat der Geschwindigkeitsvektor? (z-Wert) Seitenanfang ⇧ Lineare Bewegung Der Impuls p ist bei der „linearen Bewegung” definiert als: Masse mal Geschwindigkeit: p = m · v Je höher die Masse oder die Geschwindigkeit, desto schwieriger ist es, die Masse wieder abzubremsen. Rotation Der Drehimpuls L ist bei der „Rotation” definiert als: Radius mal Impuls:L = r · p Für den Fall, dass die Tangentialgeschwindigkeit nicht im rechten Winkel zum Radius angreift, gilt das Kreuzprodukt (Vektorprodukt) als die allgemeinere Definition: Seitenanfang ⇧ Der Impuls p = m · vp = 5.0 kg · 0.5 m/sDer Impuls beträgt: p = 2.50 kg·m/s Der Drehimpuls (bei rechtem Winkel) Wenn die Tangentialgeschwindigkeit im „rechten Winkel” angreift, gilt:L = r · pDer Drehimpuls beträgt: L = 7.50 kg·m²/s Der Drehimpuls (Kreuzprodukt) Wenn die Tangentialgeschwindigkeit nicht im rechten Winkel angreift, wird das Kreuzprodukt aus den Vektoren der Koordinaten gebildet. Für obige Eingabewerte gilt: Der Drehimpuls beträgt: L = 30.00 kg·m²/s Seitenanfang ⇧ Kreuzprodukt (Berechnungsschema) Die Berechnung des Kreuzprodukts erfolgt nach folgendem Schema: = 3.000 , vT = -1.02.00.0 p = m · vT p = 5.0 · -1.02.00.0 = -5.010.00.0 = 3.000 × -5.010.00.0 = 0.00.030.0 Für den Betrag des Drehimpules gilt: 0.00.030.0 = 0.0² + 0.0² + 30.0² = 30.00 kg·m²/s Seitenanfang ⇧ ⇦ Kapitel Kapitel ⇨ OFFIZIELLE WEBSITE VON VOLKER RÖDEL DATENSCHUTZEINSTELLUNGEN DATENSCHUTZERKLÄRUNG NUTZUNGSBEDINGUNGEN IMPRESSUM KONTAKT SITEMAP GLOSSAR UNTERSTÜTZEN