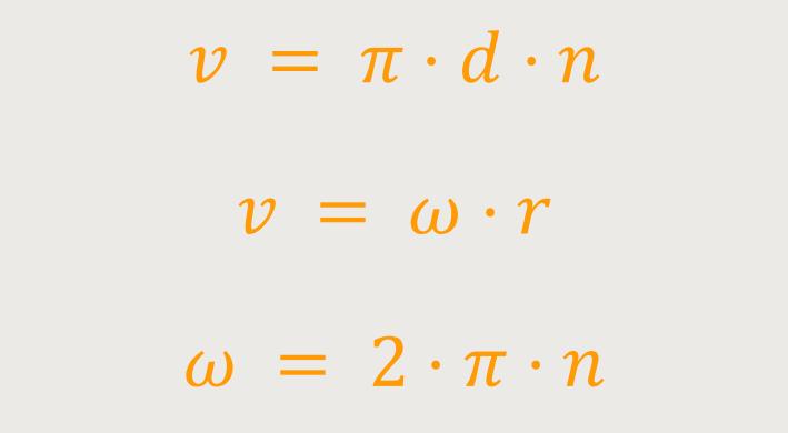
Techn. Physik ⇦ Übersicht ⇦ Zurück 3.1 Bewegung (gleichförmig) 3.2 Bewegung (gleichf. beschleunigt) 3.3 Drehimpuls 3.4 Kräfte und Drehmoment 3.5 Arbeit 3.6 Energie 3.7 Leistung 3.8 Reibung 3.9 Druckarten 3.10 Pneumatik Weiter ⇨ Gleichförmige Bewegung ⇨ Gleichförmige Bewegung ⇨ Kreisförmige Bewegung ⇨ Umrechnung km/h in m/s Tipp: Du kannst gleichzeitig verschiedene Bewegungsarten miteinander vergleichen. Gleichförmige Bewegung Wie viel Wegstrecke s wird in der Zeit zurückgelegt? m (Meter) Wie viel Zeit t wird für die Wegstrecke benötigt? s (Sek.) Die Geschwindigkeit beträgt: v = 20.0 m/s Alternativrechnung Wie viel Wegstrecke s wurde in der Zeit zurückgelegt? m (Meter) Wie hoch ist die Geschwindigkeit v ? m/s Die verstrichene Zeit beträgt: t = 30.0 s Alternativrechnung Wie hoch ist die Geschwindigkeit v ? m/s Wie viel Zeit t wurde für die Wegstrecke benötigt? s (Sek.) Der zurückgelegte Weg beträgt: s = 600.0 m Seitenanfang ⇧ Kreisförmige Bewegung Wie groß ist der Durchmesser d ? mm Wie hoch ist die Drehzahl n ? min−1 Die Umfangsgeschwindigkeit beträgt: v = 0.3 m/s Die Winkelgeschwindigkeit beträgt: ω = 3.1 s−1 Seitenanfang ⇧ Umrechnung km/h in m/s Wie hoch ist die Geschwindigkeit in km/h ? km/h Die Geschwindigkeit beträgt: v = 33.33 m/s Seitenanfang ⇧ ⇦ Kapitel Kapitel ⇨ OFFIZIELLE WEBSITE VON VOLKER RÖDEL DATENSCHUTZEINSTELLUNGEN DATENSCHUTZERKLÄRUNG NUTZUNGSBEDINGUNGEN IMPRESSUM KONTAKT SITEMAP GLOSSAR UNTERSTÜTZEN