Im vorherigen haben wir die Massenanziehung zweier Punktmassen betrachtet. Abschließend hatten wir das Newton'sche Gravitationsgesetz in einer vektoriellen Form aufgeschrieben. Jetzt wollen wir untersuchen, ob wir hier eine potentielle Energie einführen können.
Wie wir bereits gesehen haben, hängt die Kraft und die potentielle Energie zusammen:
Durch Gradientenbildung dieser potentiellen Energie, die ja selbst eine skalare Ortsfunktion ist, erhält man diese Kraft.
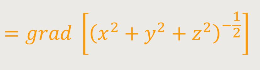
Zunächst kann man den Gradienten der Größe 1/r betrachten:
r ist der Abstand vom Ursprung.
Und das ist nichts anderes als:
Die Komponenten des Ortsvektors sind die Koordinaten des Punktes, an dem man sich gerade
befindet, also
Der Gradient ist ein Vektoroperator, das heißt es werden einfach die partiellen Ableitungen, nach dx, nach dy und nach dz gebildet.
Und wenn man dabei auf die Kettenregel achtet, kommt heraus:
Und dann sieht man sofort, dass man für diese potentielle Energie einen einfachen Ausdruck findet, der das beschreibt was wir für die weitere Betrachtung benötigen.
Als Folgerung erhält man für die potentielle Energie:
CG ist die Gravitationskonstante
Dieses CG, m und M sind lauter konstante Größen. Wenn man also den Gradienten von dieser potentiellen Energie bildet, erhält man analog zu oben:
Die potentielle Energie im Gravitationsfeld ist daher:
Das Gravitationsfeld in der Umgebung einer Punktmasse ist demnach ein konservatives Kraftfeld.
Wenn der Abstand r gegen unendlich geht, wird die potentielle Energie V gegen Null gehen, bzw. sie wird sukzessive umgewandelt in kinetische Energie.
Bei Herannahen an die felderzeugende Masse wird die Gravitationskraft immer größer. Wenn man sagt, eine Wechselwirkungskraft habe unendliche Reichweite, dann bedeutet das, dass die zugehörige potentielle Energie nicht stärker als mit 1/r abfällt, sobald man sich von der Punktmasse entfernt. Dann spricht man von unendlicher Reichweite.
Hinweis: Die potentielle Energie am Bezugspunkt ist Null, das heißt der Bezugspunkt liegt im Unendlichen.
Daher kann man den Punkt der großen Masse gar nicht in den Bezugspunkt hineinlegen. Und die nächste vernünftige Überlegung ist, ihn weit weg Richtung unendlich zu schieben.
Nehmen wir an, wir betrachten zwei Massen, von denen die eine Masse die andere anzieht. Dann zieht umgekehrt die zweite Masse auch die erste an. Und wenn sich die eine durch die Anziehung in Bewegung setzt, müsste die zweite dies ja auch tun. Wie behandelt man eine solche Situation?
Bei der Erde ist das relativ einfach. Als Mensch zieht man die Erde zwar auch an, aber aufgrund der großen Masse ist die Erde so träge, dass dies keine Wirkung hervorruft. Genaugenommen fällt die Erde auch auf den anderen fallenden Körper. Nur wegen der größeren Masse viel weniger weit.
Nehmen wir zum Beispiel ein Doppelsternsystem mit vergleichbaren Massen, wo sich beide bewegen. Wie lässt sich so etwas beschreiben?
Um das zu visualisieren, wendet man sich dem sogenannten „Zweikörperproblem” zu. Das ist ein ganz wichtiges Problem in der Physik im Allgemeinen und bei der Gravitationskraft im Besonderen. Ein wesentlicher Punkt ist, um dieses Zweikörperproblem richtig zu verstehen, dass man zunächst zwei Körper beschreibt, die miteinander in Wechselwirkung stehen. Gemäß Newton III sind diese Wechselwirkungskräfte so beschaffen, dass die Kraft von dem einen auf den anderen Körper und umgekehrt die Kraft von dem anderen auf den ersten, entgegengesetzt gerichtet sind, aber den gleichen Betrag haben. Der Betrag der Kraft ist zwar jeweils die Gleiche, aber die Trägheit der Masse ist eine andere.
Man betrachtet also zwei Massen
Jetzt kann man die zugehörigen Bewegungsgleichungen aufstellen, wobei der Einfluss äußerer Kräfte außen vor bleibt.
Zuerst wendet man Newton II auf die Masse m₁ an:
Dann wendet man Newton II auf die Masse m₂ an:
Für oben gilt:
Im Grunde sind das zwei gekoppelte Bewegungsgleichungen, die miteinander zusammenhängen. In Wirklichkeit sind das „gekoppelte Differenzialgleichungen”. Nun versucht man, wo es geht, sie zu „entkoppeln”. In diesem Fall gibt es eine sehr scharfsinnige Idee, wie man das umsetzen kann. Und zwar, indem man diese beide Differenzialgleichungen einfach voneinander abzieht.
Anschließend lässt sich das noch etwas umformen, indem man zunächst dieses
₁
−
₂ )
Nach Newton III (Wechselwirkungssatz) ist:
Wenn man beides entsprechend einsetzt, erhält man:
Für 1/m₁ + 1/m₂ kann man
auch
Um das weiter zu vereinfachen, setzt man eine reduzierte Masse an:
μ ist die reduzierte Masse
Hinweis:
Hierbei wurden bereits Zähler und Nenner miteinander vertauscht, weil sie in der
Gleichung auf die andere Seite gebracht werden müssen. Durch Einsetzen der reduzierten
Masse erhalten wir nur noch eine Bewegungsgleichung:
Durch diesen formalen Trick gelingt es, ein System mit zwei gekoppelten Differenzialgleichungen zurückzuführen auf eine Bewegungsgleichung. Und diese eine Gleichung beinhaltet sowohl die Relativgeschwindigkeit als auch die reduzierte Masse.
Das bedeutet nichts anderes, als dass die Relativbewegung zweier wechselwirkender
Massenpunkte
m₁ und m₂
reduziert wird auf die Bewegung einer reduzierten Masse μ im Feld der
Wechselwirkungskraft
₁ ₂.
Und was ist, wenn man mehr als zwei Körper betrachtet? Mehr als zwei Körper kann man analytisch nicht mehr lösen. Das geht nur mit nummerischen Methoden und ist meistens recht aufwendig. Zumal solche Mehrkörperprobleme nach einiger Zeit Instabilitäten zeigen. Unser Sonnensystem ist demnach ein sehr ausgeklügeltes Mehrkörpersystem. Bisher nimmt man an, dass zwischen den verschiedenen Planeten überwiegend Zweikörperprobleme bestehen. Und diese Zweikörperprobleme sind über Jahrtausende sehr stabil. Wenn man unser Sonnensystem allerdings mit nummerischen Methoden durchrechnet, zeigen alle Rechenmodelle, dass unser Sonnensystem eigentlich irgendwann auseinanderfliegen müsste.
Ich persönlich teile diese Überzeugung nicht. Wie im Bereich „Neue Physik” gezeigt wird, gibt es durchaus eine Alternative für das Mehrkörperproblem. Das Stichwort heißt Wirbelstrukturen. Doch dazu an anderer Stelle mehr.
Was ist denn, wenn eine Masse sehr groß ist im Verhältnis zu der anderen? Wenn man
zum Beispiel das System
Wenn m₁ (Erde) sehr klein ist gegenüber
m₂ (Sonne), dann ist
Dadurch lässt sich die Planetenbewegung in sehr einfacher Weise darstellen. Und wenn man alle Planeten mit einbezieht, dann taumelt die Sonne nur ein bisschen hin und her. Aber der gemeinsame Schwerpunkt unseres Sonnensystems liegt trotzdem weiterhin innerhalb der Sonne.
⇦ Kapitel Kapitel ⇨
