Um den Begriff der „Energie” einzuführen, gehen wir in zwei Schritten vor. In der Mechanik gibt es zwei unterschiedliche Arten von Energie. Zum einen spricht man von der „kinetischen Energie”. Diesen Begriff führt man zurück auf den Begriff der Arbeit. Dabei betrachtet man ein Teilchen bzw. einen Massenpunkt, der sich mit einer gewissen Geschwindigkeit bewegt. Die kinetische Energie, die man diesem Teilchen zumisst, ist diejenige Arbeit, die verrichtet werden musste, um diesen Körper aus anfänglicher Ruhelage auf eine bestimmte Geschwindigkeit zu beschleunigen, was letztlich unter dem Einfluss einer Kraft geschieht. Man spricht dann davon, dass diese Arbeit diesem Teilchen als kinetische Energie gewissermaßen übertragen wurde. Man könnte auch sagen, es wurde Arbeit in ihn investiert.
Also, es ist eine Arbeit, die vorher aufgewendet werden muss, um einen Körper aus anfänglicher Ruhe auf die Geschwindigkeit zu beschleunigen, die er dann hat. Diese kinetische Energie lässt sich relativ einfach ausrechnen.
Wir werden die Formel Schritt für Schritt herleiten.
Zunächst betrachtet man den Massenpunkt, der zum Zeitpunkt t₀ am Punkt P₀ in Ruhe ist. Der Körper hat also in diesem Fall keine Anfangsgeschwindigkeit.
Grundsätzlich berechnet man die Arbeit längs eines Weges von
P₀ nach einem Punkt
PA. Den jeweiligen Punkt PA,
den man zu einem bestimmten Zeitpunkt betrachtet, nennt man auch „Aufpunkt”.
Der Körper befindet sich zu der Zeit
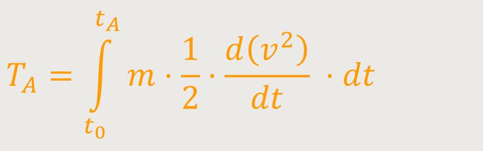
Die Arbeit TA ist definiert als:
ist die Kraft, die auf den Körper wirkt
Man erhält hier ein Kurvenintegral, welches sich weiter umformen lässt. Das
ist dann der Fall, wenn der Kurvenverlauf gegeben ist als „Parameterdarstellung”.
Zudem muss man berücksichtigen, dass der Ortsvektor
eine Funktion der Zeit ist. Dann kann
man nämlich dieses Integral umformen in ein Integral über die Zeit wenn
/ dt
Jetzt benutzt man einen Trick, um weiter umformen zu können. Man überlegt sich, was herauskommt, wenn man folgendes bildet:
Hier wird der Geschwindigkeitsvektor (als Skalar) mit sich selbst multipliziert. Unter Berücksichtigung der Produktregel ergibt sich daraus:
Und das setzt man jetzt entsprechend oben ein:
Anschließend folgt nichts anderes als eine Substitution:
v₂ ist die Integrationsvariable
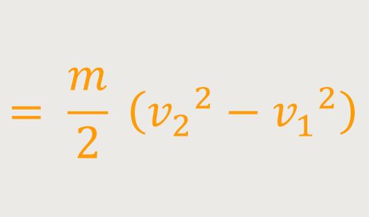
Und damit erhält man das Ergebnis für die kinetische Energie:
Man erkennt auch, dass die kinetische Energie eines Körpers proportional zur Masse ist.
Hinweis:
Aus dem Exponenten ergibt sich: Wenn man die doppelte Geschwindigkeit
erreichen möchte, muss man die vierfache Arbeit hineinstecken.
Was ist aber, wenn der Körper bereits eine Anfangsgeschwindigkeit hat?
Jetzt rechnen wir im zweiten Fall wieder die Arbeit längs eines Weges aus, von einem
Punkt
Die Arbeit lässt sich somit ausrechnen als die Differenz der kinetischen Energien. Gemessen vom Endpunkt „minus” dem Anfangspunkt:
Bevor wir die potentielle Energie betrachten, möchten wir noch kurz über konservative Kräfte sprechen.
Wir betrachten im Nachfolgenden einen Körper, bzw. einen Massenpunkt, der sich
in einem Kraftfeld befindet, wie zum Beispiel ein Körper an der Erdoberfläche.
Das Kraftfeld ist dann das homogene Feld der überall gleichen Gewichtsvektoren im
Bereich der Erdoberfläche. Wenn man sich im Verlauf an unterschiedliche Punkte
begibt, werden dort im Allgemeinen auch unterschiedliche Kräfte wirken. Dieses
Kraftfeld wird mit
bezeichnet.
Hierbei geht es also um spezielle Kraftfelder, die man auch als „konservative
Kräfte” bezeichnet.
Unter einem konservativen Kraftfeld versteht man ein Kraftfeld, das so
beschaffen ist, dass die Arbeit längs jedes geschlossenen Weges gleich
Null ist. Ganz wichtig: Längs geschlossener Wege wird keine
Arbeit verrichtet. Das bedeutet, dass das Integral
·
d
Ein Körper legt also in dem Kraftfeld auf einem geschlossenen Pfad einen Weg zurück, der vom Ausgangspunkt weg wieder herum verläuft zum Ausgangspunkt hin. Das bedeutet, dass insgesamt auf diesem Pfad keine Arbeit verrichtet wird. Es kann schon sein, dass eine positive Arbeit verrichtet wurde, in dem Sinn, dass etwas hineininvestiert wurde. Aber es wird im weiteren Verlauf auch wieder eine negative Arbeit entstanden sein, um den Anfangseffekt wieder rückgängig zu machen, so dass am Ende die gesamt Arbeit gleich Null ist.
Als Beispiel könnte man die Bewegung der Erde um die Sonne anführen. Der Planet bewegt sich auf einer elliptischen Bahn. Auf dieser Bahnkurve wird Arbeit verrichtet, wenn er sich ein Stück von der Sonne weg bewegt. Wenn er sich aber wieder der Sonne annähert, also den ganzen Zyklus durchlaufen hat, ist die gesamte Arbeit letztlich gleich Null. Wäre das nicht so, würde die Erde in Richtung Sonne hineinspiralen.
Wichtiger Hinweis:
Die Reibungskräfte sind keine konservativen Kräfte. Auch die magnetischen
Felder in der Umgebung von stromumflossenen Leitern sind keine konservativen Felder.
Jetzt wenden wir uns der „potentiellen Energie” zu. Unter der potentiellen Energie versteht man einen Körper, der unter dem Einfluss einer Kraft steht.
Mit anderen Worten, wir gehen jetzt davon aus, dass sich ein Körper (ein Massenpunkt)
in einem Kraftfeld befindet. Des Weiteren nehmen wir an, dass es ein konservatives
Kraftfeld
ist. Und der
Massenpunkt befindet sich in unserem Beispiel an einem Punkt P.
Um die potentielle Energie an diesem Punkt definieren zu können, muss man zunächst
einmal einen unveränderlichen Bezugspunkt P₀
festlegen. Anschließend kann man die potentielle Energie eines Massenpunktes
definieren, der sich während seines Umlaufs an irgendeinem Punkt P
befindet, unter Bezugnahme des festen Bezugspunktes
P₀. Das ist einfach nichts anderes als die
Arbeit, welche die Kraft
verrichten kann,
falls sich der Massenpunkt von seinem Punkt P, wo er gerade ist,
nach diesem Bezugspunkt P₀ hin bewegt:
Die Betonung liegt auf „falls”. Denn es steht eine potentielle Energie zur Verfügung, die aber nicht immer sofort abgerufen wird. Sie kann zum Beipsiel abgerufen werden durch die Schwerkraft. Daher kann man diese potentielle Energie abschließend recht einfach aufschreiben.
Diese potentielle Energie ist somit nichts anderes als die Arbeit, die verrichtet werden kann,
wenn sich der Massenpunkt von
Abschließend lässt sich Ganze noch mit einem „Minus” umformen:
Diese negative Kraft −
ist eine Gegenkraft zu der wirkenden Kraft
.
Man kann auch sagen, diese potentielle Energie kann aufgefasst werden als die Arbeit, die von einer Gegenkraft gegen die wirkende konservative Kraft verrichtet wird, wenn man vom Bezugspunkt zum betrachteten Punkt aufsteigt. In der Weise wird es auch häufig erklärt.
Man kann die potentielle Energie so veranschaulichen, dass man mit der Muskelkraft, das ist die Gegenkraft gegen die Gewichtskraft, einen Gegenstand längs einer Bahnkurve vom Boden aufhebt und auf einen Tisch legt. Letzten Endes ist das dieselbe Arbeit, die andererseits von der Schwerkraft verrichtet wird, wenn der Körper sich wieder hinunter bewegt, vom Tisch zum Boden. Der Boden ist der Bezugspunkt und auf dem Tisch ist der Punkt P, um den es geht.
Warum wurde das Ganze auf konservative Kraftfelder eingegrenzt? Weil hier keine Festlegung erfolgt ist, längs welchen Weges man sich bewegt, vom Punkt P, wo man sich gerade befindet, zum Bezugspunkt P₀.
Diese potentielle Energie ist nur dann eindeutig, wenn der Ausdruck für die Kraft
nicht abhängig ist vom konkreten
Verlauf der Bahnkurve. Hat man die Freiheit, verschiedene Bahnkurven zu wählen,
dann kommen dementsprechend unterschiedliche Werte für dieses Intergral
heraus. In diesem Fall ist die potentielle Energie gar nicht so eindeutig definiert.
Das heißt, eine potentielle Energie, als Punktfunktion, kann nur dann eindeutig definiert werden, wenn das Kraftfeld, in welchem sich der Körper befindet, ein konservatives Kraftfeld ist. Dann allerdings ist die potentielle Energie eindeutig und eine sehr nützliche Größe.
⇦ Kapitel Kapitel ⇨
