In diesem Teil werden wir die Ebenen Spiralen noch um einige Varianten vervollständigen.
Eine Hyperbolische Spirale ist eine ebene Kurve, die sich in der
Die Polardarstellung der Hyperbolischen Spirale ist definiert als:
Sie lässt sich in kartesischen Koordinaten
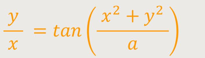
Die Hyperbel in der
Aus obiger Parameterdarstellung und
ergibt sich eine Darstellung mit der Gleichung:
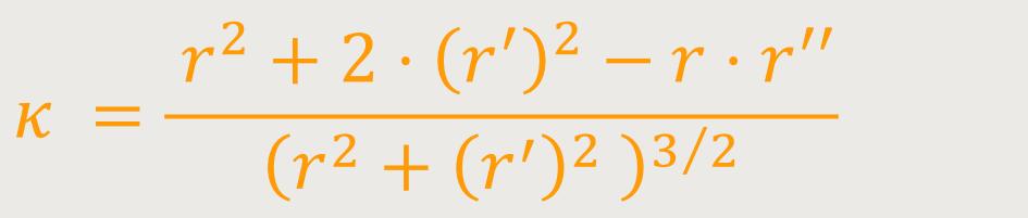
Die Krümmung k einer Kurve in Polardarstellung ist definiert als:
Für die Krümmung einer Kurve in Polardarstellung
ergibt sich die Krümmung:
Die Spiegelung am Einheitskreis (Inversion) lässt sich in Polarkoordinaten beschreiben durch:
Insofern ergibt sich als grafische Darstellung der „Archimedischen Spirale” bei der Spiegelung am Einheitskreis die „Hyperbolische Spirale”.
Für
Der Krümmungskreis der Archimedischen Spirale hat im Nullpunkt den Radius
Dieser Kreis geht bei der Kreisspiegelung in die Gerade
Das Bild zeigt
Eine Fermatsche Spirale, auch „Parabolische Spirale” genannt, ist ebenfalls eine ebene Kurve, die sich in Polarkoordinaten durch die Gleichung einer Parabel beschreiben lässt.
Die Polardarstellung der Fermatschen Spirale ist definiert als:
Die Fermatsche Spirale lässt sich in kartesischen Koordinaten
Aus obiger Parameterdarstellung und
ergibt sich eine Darstellung mit der Gleichung:
Die Fermatsche Spirale ähnelt der Archimedischen Spirale. Aber im Gegensatz zu letztgenannter hat die Fermatsche Spirale einen abnehmenden Windungsabstand. Das heißt, die Windungen liegen nach außen hin immer dichter beieinander.
Die Fermatsche Spirale heißt auch deshalb „Parabolische Spirale”, da ihre Polargleichung eine Parabel beschreibt.
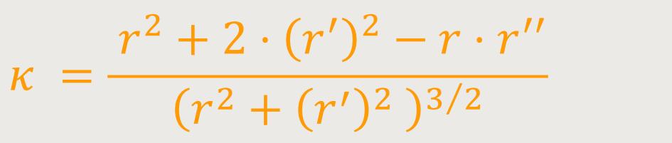
Die Krümmung k einer Kurve in Polardarstellung ist definiert als:
Für die Krümmung einer Kurve in Polardarstellung
ergibt sich die Krümmung:
Im Nullpunkt ist die Krümmung Null. Die vollständige Spirale hat somit im Nullpunkt einen Wendepunkt mit der x-Achse als Wendetangente.
Die Spiegelung am Einheitskreis (Inversion) lässt sich in Polarkoordinaten beschreiben durch:
Insofern ergibt sich als grafische Darstellung der Fermatschen Spirale bei der Spiegelung am Einheitskreis die Lituus-Spirale.
Für
Die Wendetagente (x-Achse) der Fermatschen Spirale (im Nullpunkt) geht bei der Spiegelung in sich über und ist die Asymptote der Lituus-Spirale.
In der Mathematik ist eine Lituus-Spirale eine ebene Spirale, bei der der Winkel θ (Darstellung als Polarkoordinaten) umgekehrt proportional ist zum Quadrat des Radius r .
Die Polardarstellung der Lituus-Spirale ist definiert als:
Die Lituus-Spirale, bei der beide Zweige vom Vorzeichen des Radius r abhängen, ist asymptotisch zur x-Achse. Ihre Wendepunkte liegen bei:
Die Lituus-Spirale ist das Bild einer Fermatschen Spirale bei einer Kreisspiegelung.
Ein Vergleich obiger Spiralen mit den Wachstumsmustern in der Natur zeigt, dass die Logarithmische Spirale aus dem vorherigen Kapitel am ehesten geeignet scheint, die Natur abzubilden. Doch bevor wir eine abschließende Aussage treffen, möchten wir einige Facetten der Goldene-Spirale näher untersuchen. Eine nähere Betrachtung lohnt sich, weil wir auf verschiedene kosmologische Zusammenhänge stoßen werden.
⇦ Kapitel Kapitel ⇨
