In Verbindung mit den elektromagnetischen Schwingungen, sprich bei der
Wechselstromlehre ist es von Vorteil, insbesondere bei den Wechselströmen
und den Wechselstromwiderständen, die jeweiligen Widerstände
durch komplexe Impedanzen darzustellen. Des Weiteren lassen sich die Spannungen und
Ströme mit ihren periodischen Zeitabhängigkeiten als komplexe
Im vorherigen Kapitel haben wir den Formalismus zu den komplexen Impedanzen für den Ohm'schen Widerstand, die Spule und den Kondensator betrachtet. Jetzt wollen wir diese komplexen Größen und ihre Zusammenhänge in der komplexen Ebene visualisieren. Dazu verwendet man die sogenannte Zeigerdarstellung, die den Vorteil hat auch aufwendigere Schaltungen, bei denen mehr als nur ein Wechselstromwiderstand enthalten ist, übersichtlich darzustellen.
Die Zeigerdarstellung ist bereits ein geläufiges Mittel aus der Mechanik. Wenn
man zum Beispiel Schwingungen mit komplexen
In ähnlicher Weise lässt sich diese Zeigerdarstellung auch im Zusammenhang mit der Wechselstromlehre anwenden.
Grafik (wird später eingefügt)
In der komplexen Ebene lässt sich sowohl die Spannung U als auch den Strom I als komplexe Zahlen darstellen.
Der Winkel zwischen den beiden Zeigern entspricht der Phasenverschiebung φ. Und das Ganze rotiert mit der Winkelgeschwindigkeit ω um den Koordinatenursprung. Die Winkelgeschwindigkeit oder Kreisfrequenz ist definiert als:
ν (nu) ist die Frequenz in Schwingungen pro Sekunde
Oder anders ausgedrückt:
T ist die Schwingungsdauer einer einzelnen Schwingung
Wenn 2π der volle Winkel im Bogenmaß ist, dann ist
Da es im Allgemeinen eine Phasenverschiebung zwischen der Spannung und dem Strom gibt, zeigen die jeweiligen Zeiger in unterschiedliche Richtungen. Dennoch handelt es sich bei den Zeigern zueinander um eine starre Anordnung, die in der komplexen Ebene mit der Winkelgeschwindigkeit rotiert.
Wir werden nun in unterschiedlichen Zeigerdarstellungen die Lage der Spannungs- und Stromzeigeranordnung bei einem Ohm'schen Widerstand, einer Spule und einem Kondensator grafisch darstellen.
Grafik (wird später eingefügt)
Gemäß der Grafik sind beide Zeiger parallel, sodass sich keine Phasenverschiebung ergibt.
Grafik (wird später eingefügt)
Gemäß der Grafik ergibt sich eine Phasenverschiebung von
Grafik (wird später eingefügt)
Gemäß der Grafik ergibt sich eine Phasenverschiebung von
Neben diesen Standard-Zeigerdiagrammen wollen wir noch etwas komplexere Zeigerdarstellungen betrachten.
Mit der Beziehung
Grafik (wird später eingefügt)
Betrachten wir gedanklich einmal eine Serienschaltung. Ausgehend von einer Wechselspannungsquelle befinden sich in dem Stromkreis ein Widerstand R, eine Spule L und ein Kondensator C, alle in Serie geschaltet. Die Spannung U teilt sich nun auf in die Spannung am Widerstand UR, die Spannung an der Spule UL, und die Spannung am Kondensator UC.
Insofern gilt für die Gesamtspannung:
Die Gesamtimpedanz dieser Anordnung ist die Summe der einzelnen in Serie geschalteten Widerstände:
Durch Einsetzten ergibt sich entsprechend:
Betragsmäßig stellt sich die Impedanz wie folgt dar:
Da das R für den Realteil steht, und der Inhalt der Klammer für den Imaginärteil, lässt sich der Betrag auch darstellen als:
Darunter versteht man auch das Verhältnis der Amplituden:
Das Verhältnis der Impedanz vom Imaginärteil zum Realteil entspricht:
Und das entspricht dem Phasenverschiebungswinkel
Damit erhalten wir zwei wichtige Aussagen über das Verhalten eines Wechselstromkreises.
Als Zeigerdiagramm sieht das dann wie folgt aus:
Grafik (wird später eingefügt)
Der eine Stromzeiger I gilt für alle drei Schaltelemente. Der Spannungszeiger des Widerstandes UR verläuft parallel dazu und entspricht der Amplitude U₀R. Der Spannungszeiger der Spule UL ist gegen den Uhrzeigersinn um 90° versetzt und entspricht der Amplitude U₀L. Hier eilt die Spannung dem Strom voraus.
Je größer die Kreisfrequenz ist, desto größer wird bei einem bestimmten Strom die an der Spule anliegende Spannung sein. Und damit wird auch der Widerstand in der Spule größer. Der Spannungszeiger der Spule UC ist mit dem Uhrzeigersinn um 90° versetzt und entspricht der Amplitude U₀C. Hier eilt die Spannung dem Strom hinterher. Mit zunehmender Frequenz wird der Widerstand im Kondensator immer geringer und die Spannung wird im kleiner werden.
Aus dem Zeigerdiagramm der Serienschaltung ergibt sich die Gesamtspannung U, dessen Zeigerposition sich aus den anderen Zeigern ergibt, mit einem entsprechenden Phasenverschiebungswinkel φ.
Wenn in einer solchen Schaltung der Widerstand sehr klein ist, ist die Gesamtspannung nahezu Null. In diesem Fall spricht man von einer „Spannungsresonanz” bzw. hier von einer „Serienresonanz”.
Dem werden wird jetzt die Parallelschaltung gegenübergestellt.
Grafik (wird später eingefügt)
Jetzt betrachten wir gedanklich eine Parallelschaltung. Ausgehend von einer Wechselspannungsquelle befinden sich in dem Stromkreis ein Widerstand R, eine Spule L und ein Kondensator C, alle parallel geschaltet. Während bei der Serienschaltung durch alle Bauteile der gleiche Strom durchgeflossen ist, liegt jetzt an allen Bauteilen die gleiche Spannung U an. Nun haben wir einen Gesamtstrom I, der sich aufteilt in einen Strom am Widerstand IR, einen Strom an der Spule IL, und einen Strom am Kondensator IC .
Nun gilt für den Gesamtstrom:
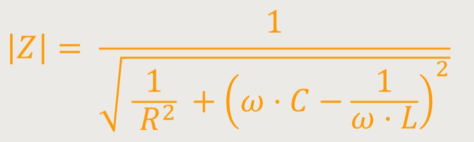
Gemäß der Kirchhoff'schen Knotenregel addieren sich bei parallel geschalteten Widerständen, jetzt die Reziprokwerte. Die Gesamtimpedanz der Parallelschaltung ist die Summe der einzelnen Kehrwerte:
Durch Einsetzten ergibt sich entsprechend:
In einem Zwischenschritt werden die Brüche erweitert, um nur den Betrag von Z zu erhalten. Dies lässt sich an folgendem Beispiel verdeutlichen:
Auf diese Weise lässt sich bei komplexen Zahlen ein Reziprokwert in eine Zahl mit einem Realteil und einem Imaginärteil umwandeln.
Wenn man das entsprechend auf obige Brüche anwendet, stellt sich die Impedanz jetzt betragsmäßig wie folgt dar:
Darunter versteht man auch hier das Verhältnis der Amplituden:
Und der Phasenverschiebungswinkel
Das entsprechende Zeigerdiagramm sieht dann wie folgt aus:
Grafik (wird später eingefügt)
Hier gilt jetzt der Spannungszeiger U für alle drei Schaltelemente. Der Stromzeiger des Widerstandes IR verläuft parallel dazu und entspricht der Amplitude I₀R. Der Stromzeiger der Spule IL ist mit dem Uhrzeigersinn um 90° versetzt und entspricht der Amplitude I₀L. Hier eilt die Spannung dem Strom nach. Der Stromzeiger der Spule IC ist gegen den Uhrzeigersinn um 90° versetzt und entspricht der Amplitude I₀C. Hier eilt der Strom der Spannung voraus.
Aus dem Zeigerdiagramm der Parallelschaltung ergibt sich der Gesamtstrom I, dessen Zeigerposition sich aus den anderen Zeigern ergibt mit einem entsprechenden Phasenverschiebungswinkel φ.
Wenn in einer solchen Schaltung die Kapazität und die Induktivität wieder gleiche Werte annehmen, ist der Gesamtstrom nahezu Null. In diesem Fall spricht man von einer „Stromresonanz” bzw. hier von einer „Parallelresonanz”.
Also, wenn man beide Schaltungen gegenüber stellt, spricht man entweder von einem Schwingkreis oder einem Sperrkreis.
⇦ Kapitel Kapitel ⇨
