Im vorherigen Kapitel haben wir das Biot-Savart-Gesetz hergeleitet.
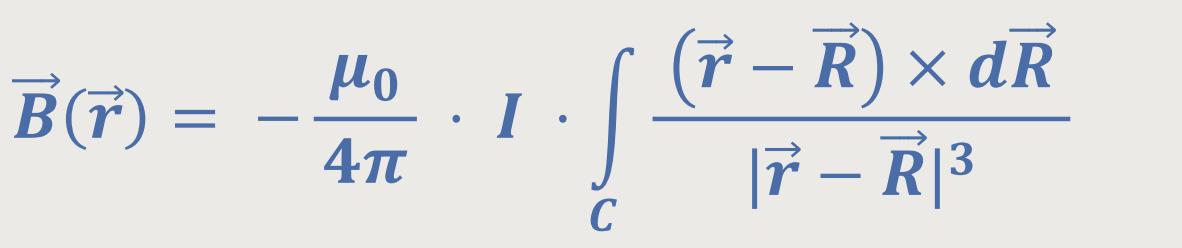
Dieses Gesetz beinhaltet eine wichtige Gleichung zur Berechnung von Magnetfeldern. Ein solches Magnetfeld entsteht immer aufgrund eines fließenden Stroms. Es wurde wie folgt definiert:
Jetzt stellt sich die Frage, wie man dieses Gesetz konkret anwenden kann. Dazu ist es von Vorteil, sich nochmals zu verdeutlichen, was es bedeutet. Zunächst einmal geht es um die magnetische Flussdichte in einem Raum, von einem Beobachtungspunkt aus betrachtet.
Neben einer vorangestellten Konstante spielt immer der jeweils fließende Strom eine
wichtige Rolle. Darüber hinaus folgt eine mathematische Integration über ein
Linienelement

Die magnetische Flussdichte eines einzelnen Stromelements stellt sich betragsmäßig wie folgt dar:
Damit ergibt sich eine Abhängigkeit analog zu den elektrischen Punktladungen. So vorzugehen macht Sinn, weil man ja auch nur ein einziges Stromelement betrachtet, welches umgeben ist von einem magnetischen Feld. Verständlicherweise gibt es natürlich nicht nur ein solches Stromelement.
Grafik (wird später eingefügt)
Dazu könnte man sich einen langen dünnen stromdurchflossenen Leiter
vorstellen. Von Interesse ist nun das Magnetfeld um einen derartigen Leiter herum. Ausgehend
von einem willkürlichen festgelegten Ursprung des Koordinatensystems
betrachtet man jetzt ein einzelnes Leiter- bzw. Stromelement

ist dann der Ortsvektor
vom Ursprung zum jeweiligen Stromelement. Der Beobachter befindet sich irgendwo an einem
Aufpunkt P, dessen Ortsvektor ausgehend vom Ursprung mit
beschrieben wird. Im Wesentlichen
interessiert uns aber die magnetische Flussdichte
, mit dem sich der ganze Stromleiter
umgibt, an der Stelle des Beobachters. Zunächst geht es nur um das Magnetfeld eines
Stromelements aus dem Leiter. Insofern gibt es noch einen weiteren Verbindungsvektor
von diesem Stromelement zum Aufpunkt P des Beobachters. Der wird
durch den Vektor
−

Auf diese Weise erhält man die Richtung und auch den Orientierungssinn des Vektors
der magnetischen Flussdichte

Bei einem solchen Vektorprodukt gilt es zu beachten, welches Basisvektorsystem man wählt. In diesem Fall geht es um ein Rechtssystem. Damit erhält man für die Orientierung des Magnetfeldwirbels eine Rechtsschraubenregel in Richtung des fließenden Stroms.
Natürlich könnte man auch eine Spiegelung in ein Linksbasisvektorsystem vornehmen. Dann müssten allerdings die Basisvektoren in ein Linkssystem transformiert werden.
Die einfachste Geometrie ist ein geradliniger zylindrischer Stromleiter. In der Elektrostatik greift man dafür oft auf das Gauß'sche-Gesetz zurück. Bei den Magnetfeldern dagegen übernimmt diese Rolle das Ampere'sche-Gesetz. Bei zylindrischen Stromleitern, reicht es aus, auf dieses Ampere'sche-Gesetz zurückzugreifen.
Da wir vorerst bei einer zylindrischen Geometrie des Leiters bleiben und es um sehr dünne stromdurchflossene Leiter geht, werden wir nachfolgend zwei Berechnungen durchführen. Einmal mittels Ampere'schen-Gesetz und im Anschluss das Ganze nochmal aus Sicht des Biot-Savart-Gesetzes anwenden.
Das „Ampere'sche-Gesetz” besagte folgendes über die magnetische Spannung:
Im ersten Schritt geht es um den Außenraum mit dem Radius r
in Bezug auf einen zylindrischen Leiter mit dem Radius r₀.
Der Außenraum ist größer als der Leiterradius
Grafik (wird später eingefügt)
Im Grunde betrachtet man einen konzentrischen Kreis K, der den Stromleiter umfasst.
Weil sich der Radius r dieses Kreises nicht ändert, haben die
Flussdichtevektoren
überall
den gleichen Betrag, und deshalb kann man nach vorheriger Umformung auch schreiben:
Wenn man diese Beziehung in das Ampere'sche-Gesetz einsetzt, ergibt sich:
Somit folgt nach Umstellung der Gleichung:
Und damit wird eine frühere Ausgangsbeziehung über die magnetische Flussdichte bestätigt.
Im zweiten Schritt geht es jetzt um den Innenraum dieses zylindrischen Leiters
Dieser Formalismus ist analog zum Außenkreis. Der wesentliche Unterschied besteht jetzt allerdings darin, dass der vom Innenkreis umschlossene Strom nicht mehr dem ganzen Strom in dem Leiter entspricht. Bei einer homogenen Stromverteilung ergibt sich daher für diesen Strom:
Die Stromdichte, also der Strom pro Querschnittsflächeneinheit, wird multipliziert mit der Innenkreisfläche. Nach Wegkürzen ergibt sich:
Und wenn man das wieder in das Ampere'sche-Gesetz einsetzt, ergibt sich:
Somit folgt nach Umstellung der Gleichung:
In diesem Fall nimmt die magnetische Flussdichte mit dem Radius zu. Denn je größer der Radius r ist, desto größer wird auch der umschlossene Strom.
Grafik (wird später eingefügt)
Im Inneren des Leiters nimmt die Flussdichte vom Zentrum bis zur Oberfläche
des Leiters zu, um anschließend proportional mit
Jetzt wollen wir das Ganze nochmals mit Hilfe des „Biot-Savart-Gesetzes” durchrechnen. Hierzu betrachten wir wieder einen dünnen geradlinigen Stromleiter.
Grafik (wird später eingefügt)
Wir denken uns einen solchen Stromleiter, dessen Stromfluss in einer senkrechten Richtung von unten nach oben verläuft. Die Mittelachse bezeichnen wir daher als z-Achse.
Der Beobachter befindet sich irgendwo rechts außerhalb des Leiters in einem Aufpunkt
P. Dann legen wir einen Fußpunkt auf der Senkrechten fest,
indem wir vom Beobachtungspunkt eine lotrechte Verbindungslinie ziehen. Jetzt liegt
der Ursprung O genau auf dem Stromleiter. Im Anschluss betrachten wir
ein kleines Stromelement d
an irgendeiner Stelle des Leiters. Die Position wird vom Ursprung beschrieben durch den Vektor
. Eine weitere Verbindungslinie vom
Ursprung zum Aufpunkt bildet den Vektor
.
Ein dritter Vektor
−
Der eingeschlossene Winkel am Aufpunkt wir mit α bezeichnet.
Nun müssen noch alle kleinen Stromelemente
d
von
Für die weitere Betrachtung nehmen wir, wie gesagt, obiges Biot-Savart-Gesetz hinzu.
Die Flussdichtevektoren
zeigen
im Aufpunkt nach der Rechte-Hand-Regel quasi nach hinten. Und wenn es
jetzt um den gesamten Betrag der Flussdichtevektoren geht, müssen
abschließend die Beträge von allen

Wenn man jetzt in das Biot-Savart-Gesetz einsetzt, wobei die Paramater entsprechend ersetzt werden und anschließend über die z-Achse integriert wird, ergibt sich:
Für den Betrag des Vektors
−
|
Für die anderen Parameter gilt entsprechend:
Wenn man jetzt wieder entsprechend einsetzt, ergibt sich:
Da der Radius r eine Konstante ist, lässt sie sich vor das Integral setzen. Und nach dem Wegkürzen, sowie unter Berücksichtigung, dass rot const ebenfalls Null ist, erhält man:
Daraus folgt abschließend:
Auf diese Weise lassen sich durch Anwendung des Biot-Savart-Gesetzes die Felder konkret ausrechnen. Beim Integrieren ergibt sich aus der ursprünglichen 1/r³ Abhängigkeit wieder eine 1/r Abhängigkeit. Insofern bleibt bei dieser Betrachtung der Innenraum außen vor, weil es sich um einen dünnen geraden Stromleiter handelt.
⇦ Kapitel Kapitel ⇨
