Eine wesentliche weitere Betrachtung ist die berühmte „Wellengleichung”. Die Wellengleichung ist eine der wichtigsten Differentialgleichungen in der Physik überhaupt. Mit den bisherigen einfachen Überlegungen können wir uns diese Gleichung jetzt anschaulich machen.
In der Elektrodynamik ergibt sich die Wellengleichung aus den Grundgleichungen, nämlich den Maxwell-Gleichungen. Und daraus konnte der Schluss gezogen werden, dass es elektromagnetische Wellen überhaupt gibt, die sich gleich schnell wie das Licht ausbreiten. In ähnlicher Weise lässt sich die Wellengleichung auch hier von den Grundgleichungen ableiten.
Um zu verstehen, wie es zu dieser Wellengleichung kommt, und was man darunter versteht, werden wir einiges von dem zugrunde legen, was wir bereits betrachtet haben. Hierzu rufen wir uns nochmals eine harmonische Welle in den Sinn zurück, die zwar nur einen Spezialfall von vielen unterschiedlichen Wellen darstellt, aber dennoch einen ganz wichtigen.
Man verfolgt auch bei der Wellengleichung das Ziel, wieder eine Differentialgleichung
zu erhalten. Was kommt heraus, wenn man die Auslenkung u, die ja eine
Funktion von
u₀ ist die zeitunabhängige Amplitude
Hinweis: Wenn man den Sinus differenziert, dann kommt der Kosinus (Cosinus) heraus. Und wenn man den Kosinus differenziert, dann kommt ein minus Sinus heraus.
Jetzt differenziert man noch einmal nach x:
u₀ · k ist eine konstante Amplitude
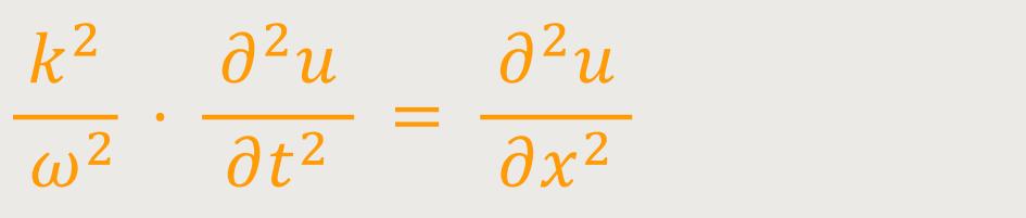
Hier wurde das u nach x partiell zweimal abgeleitet. Das heißt, dass t wurde konstant gehalten. Und jetzt macht man genau das gleiche noch einmal, indem man jetzt das u nach t zweimal ableitet. Letzten Endes erhält man anlog:
Und hier differenziert man noch einmal nach t:
Durch die zweifache Differentiation erhält man zwei Beziehungen, die man nur noch umformen muss.
Wenn man die erste Beziehung umformt, ergibt sich daraus:
Wenn man die zweite Beziehung umformt, ergibt sich daraus:
In beiden Fällen bleibt auf einer Seite der Gleichung der gleiche Term übrig, und man kann somit beides Gleichsetzen:
Abschließend formt man noch einmal geringfügig um, denn wir wissen ja inzwischen, was man unter der Phasengeschwindigkeit versteht. Man multipliziert also k² auf die andere Seite. Dann erhält man:
Wenn die Phasengeschwindigkeit
vph = ω /k ist, dann entspricht
Bei Differentialgleichungen geht man gerne so vor, dass man alle Terme, hier eine Funktion zweier Variablen, auf eine Seite schreibt:
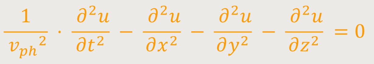
Diese Gleichung ist die
Jetzt lässt sich die Wellengleichung ganz leicht auch auf drei Dimensionen
erweitern. Denn wenn man davon ausgeht, dass die Auslenkung u auch
von der y- und von der
Dementsprechend ergibt sich daraus für die
Um das nicht so umständlich aufzuschreiben, verwendet man für
Dieses Delta ist jetzt ein anderes Delta, als das, was wir oft verwendet haben. Es ist nämlich in seiner Dimension kein kleines dimensionales Delta, sondern wir definieren es als:
Im Grunde ist das jetzt ein Operator, der angewendet wird auf eine Funktion von
(x, y, z). Dieses Δ (Delta) ist der
sogenannte Laplace-Operator. Mit Hilfe dieses Laplace-Operators erhält
man hier die
Damit ergibt sich also der wesentliche Ausgangspunkt dafür, wie man Wellen allgemein untersuchen kann. Natürlich muss zuvor, wie es bei Differentialgleichungen oft der Fall ist, festgelegt werden, welche Bedingungen die Lösungen erfüllen müssen. Denn es gibt eine große Vielzahl unterschiedlicher Lösungen dieser Wellengleichung. Daher ist es nicht verwunderlich, dass es kaum eine Differentialgleichung gibt, die in der Mathematik intensiver untersucht wurde, als die Wellengleichung.
Daher ist es wichtig zu wissen, wie man Anfangswertprobleme und
Randwertprobleme löst. Wenn man beispielsweise die
Dennoch lässt sich sagen, man versteht unter einer Welle alles, was dieser Wellengleichung genügt. Wenngleich es weit mehr ist, als nur die Betrachtung einer einfachen harmonischen Welle, die hier als Ausgangspunkt gewählt wurde.
Zwei Dinge ergeben sich aus der Gültigkeit der Wellengleichung. Das eine ist ein Prinzip, das schon ein paar hundert Jahre alt ist, nämlich das Huygens-Fresnel-Prinzip. Dieses Prinzip besagt, wenn ein Punkt in einem Wellenfeld von einer Wellenfront getroffen wird, dass dieser Punkt als Ausgangspunkt einer neuen Kugelwelle aufgefasst werden kann. Dieses Prinzip macht die Ausbreitung von Wellen etwas nachvollziehbarer.
So kann es zum Beispiel vorkommen, dass eine oder mehrere Wellenfronten auf eine Anordnung von Punkten treffen. Dass diese Punkte wiederum Ausgangspunkte von neuen Kugelwellen sind, lässt sich nachvollziehen. Wenn sich diese Kugelwellen anschließend überlagern, ergibt sich daraus einfach ein Weiterlaufen der Wellenfront. Trifft eine solche Wellenfront im weiteren Verlauf auf eine relativ kleine Öffnung, pflanzt sich die Wellenfront nach der Öffnung in Form einer Kugelwelle fort.
Ein zweites wichtiges Prinzip, das insbesondere in der Optik sehr wichtig ist, ist das Fermat-Prinzip. Dieses Prinzip ist zunächst etwas ganz anderes, obwohl es auch aus der Wellengleichung folgt. Bildet man die Ableitung, erkennt man, dass es einen ganz ähnlichen Ursprung hat. Dieses Prinzip wurde für die Lichtwellen formuliert und es sagt aus, dass eine Welle, und insbesondere das Licht, zwischen zwei Punkten den Weg wählt, für den es die kürzeste Zeit benötigt.
Das sind zwei wichtige Grundprinzipen, aus denen fast die gesamte Optik, so wie wir sie heute kennen, letzten Endes hergeleitet werden kann. Diese Grundlagen, spielen bei der Beschreibung von Lichtwellen und optischen Phänomenen eine wesentliche Rolle. Wir werden im Bereich der Elektrodynamik auf diese beiden Prinzipien noch etwas näher eingehen.
⇦ Kapitel Kapitel ⇨
